НАРУЖНАЯ РЕКЛАМА НА АВТОМОБИЛЬНЫХ ДОРОГАХ И ТЕРРИТОРИЯХ ГОРОДСКИХ И СЕЛЬСКИХ ПОСЕЛЕНИЙ
ОБЩИЕ ТЕХНИЧЕСКИЕ ТРЕБОВАНИЯ К СРЕДСТВАМ НАРУЖНОЙ РЕКЛАМЫ. ПРАВИЛА РАЗМЕЩЕНИЯ
Дата введения 2005-09-01
Содержание
- Область применения
- Нормативные ссылки
- Термины и определения
- Общие требования к наружной рекламе
- Требования к средствам наружной рекламы
- Правила размещения средств наружной рекламы
- Приложение А Допустимые пиктограммы и примеры надписей для знаков информирования об объектах притяжения
- Приложение Б Допустимые размеры и пропорции знаков информирования об объектах притяжения
- Приложение В Библиография
- Приложение Г Требования к территориальному размещению рекламных конструкций. Порядок определения границ коридора безопасности
Предисловие
- РАЗРАБОТАН Государственным предприятием «РОСДОРНИИ», Главным управлением государственной инспекции безопасности дорожного движения Службы общественной безопасности Министерства внутренних дел России (ГУ ГИБДД СОБ МВД России) и Научно-исследовательским центром Государственной инспекции безопасности дорожного движения Министерства внутренних дел России (НИЦ ГИБДД МВД России)
ВНЕСЕН Техническим комитетом по стандартизации ТК 278 «Безопасность дорожного движения» - ПРИНЯТ И ВВЕДЕН В ДЕЙСТВИЕ Постановлением Госстандарта России от 22 апреля 2003 г. № 124-ст
- ВВЕДЕН ВПЕРВЫЕ
- ИЗДАНИЕ (май 2009 г.) с Изменениями № 1, 2, утвержденными в июне 2005 г., марте 2009 г. (ИУС 9-2005, 6-2009)
1 Область применения
Настоящий стандарт распространяется на средства наружной рекламы, размещаемые на автомобильных дорогах и территориях городских и сельских поселениях.
Стандарт устанавливает общие технические требования к средствам наружной рекламы и правила их размещения, а также требования к знакам информирования обобъектах притяжения (раздел 6).
2 Нормативные ссылки
В настоящем стандарте использованы ссылки на следующие стандарты:
- ГОСТ Р 50597-93 Автомобильные дороги и улицы. Требования к эксплуатационному состоянию, допустимому по условиям обеспечения безопасности дорожного движения
- ГОСТ Р 52289-2004 Технические средства организации дорожного движения. Правила применения дорожных знаков, разметки, светофоров, дорожных ограждений и направляющих устройств
- ГОСТ Р 52290-2004 Технические средства организации дорожного движения. Знаки дорожные. Общие технические требования
3 Термины и определения
В настоящем стандарте применяют следующие термины с соответствующими определениями:
3.1 – 3.8 (Исключены, Изм. № 2).
3.9 наружная реклама: Реклама, распространяемая в виде плакатов, стендов, щитовых установок, панно, световых табло и иных технических средств.
3.10 средства наружной рекламы: Технические средства стабильного территориального размещения рекламы.
3.11 знаки информирования об объектах притяжения: Знаки, предназначенные для информирования участников дорожного движения об объектах городской инфраструктуры, по приложению А.
3.12 – 3.16 (Исключены, Изм. № 2).
4 Общие требования к наружной рекламе
4.1 Значения фотометрических элементов изображения наружной рекламы и знаков информирования об объектах притяжения должны быть ниже на 25 % аналогичных характеристик дорожных знаков по ГОСТ Р 52290.
4.2 Наружная реклама не должна:
- вызывать ослепление участников движения светом, в том числе отраженным;
- ограничивать видимость, мешать восприятию водителем дорожной обстановки или эксплуатации транспортного средства;
- иметь сходство (по внешнему виду, изображению или звуковому эффекту) с техническими средствами организации дорожного движения и специальными сигналами, а также создавать впечатление нахождения на дороге транспортного средства, пешехода или какого-либо объекта;
- издавать звуки, которые могут быть услышаны в пределах автомобильной дороги лицами с нормальным слухом.
4.3 Изображения знаков информирования об объектах притяжения приведены в приложении А, размеры знаков - в приложении Б.
5 Требования к средствам наружной рекламы
5.1 Конструкции средств наружной рекламы следует проектировать, изготовлять и устанавливать с учетом нагрузок и других воздействий, соответствующих требованиям [1] - [9] и других нормативных документов.
5.2 Конструкции средств наружной рекламы должны соответствовать строительным нормам и правилам, другим нормативным документам.
5.3 Конструктивные элементы жесткости и крепления (болтовые соединения, элементы опор, технологические косынки и т. п.) должны быть закрыты декоративными элементами.
5.4 Не допускается повреждение сооружений при креплении к ним средств размещения рекламы, а также снижение их прочности и устойчивости.
5.5 В средствах наружной рекламы используют осветительные приборы промышленного изготовления, обеспечивающие требования электро- и пожаробезопасности. Осветительные приборы и устройства, подключаемые к электросети, должны соответствовать требованиям Правил устройства электроустановок [10], а их эксплуатация - требованиям Правил эксплуатации и техники безопасности [11], [12].
5.6 При внутреннем или наружном освещении рекламы осветительные приборы и устройства должны быть установлены таким образом, чтобы исключить прямое попадание световых лучей на проезжую часть.
5.7 Крепление осветительных приборов и устройств должно обеспечивать их надежное соединение с опорной частью конструкции и выдерживать нормативные ветровую, снеговую и вибрационную нагрузки.
5.8, 5.9 (Исключены, Изм. № 1).
5.10 Средство наружной рекламы должно иметь маркировку с указанием рекламораспространителя и номера его телефона. Маркировка должна быть размещена под информационным полем. Размер текста должен позволять его прочтение с ближайшей полосы движения транспортных средств.
5.11 Не допускается применять знаки информирования об объектах притяжения, изображения которых отличаются от приведенных в приложении А.
6 Правила размещения средств наружной рекламы
6.1 Средства наружной рекламы не должны ограничивать видимость технических средств организации дорожного движения, уменьшать габарит инженерных сооружений, а также не должны быть размещены:
- на одной опоре, в створе и в одном сечении с дорожными знаками и светофорами;
- на аварийно-опасных участках дорог и улиц, на железнодорожных переездах, мостовых сооружениях, в туннелях и под путепроводами, а также на расстоянии менее 350 м от них вне населенных пунктов и 50 м - в населенных пунктах, непосредственно над въездами в туннели и выездами из туннелей и ближе 10 м от них;
- на участках автомобильных дорог и улиц с высотой насыпи земляного полотна более 2 м;
- на участках автомобильных дорог вне населенных пунктов с радиусом кривой в плане менее 1200 м, в населенных пунктах - на участках дорог и улиц с радиусом кривой в плане менее 600 м;
- над проезжей частью и обочинами дорог (кроме «перетяжек» в селитебных зонах);
- на дорожных ограждениях и направляющих устройствах;
- на подпорных стенах, деревьях, скалах и других природных объектах;
- на участках автомобильных дорог с расстоянием видимости менее 350 м вне населенных пунктов и 150 м - в населенных пунктах;
- ближе 25 м от остановок маршрутных транспортных средств;
- в пределах границ наземных пешеходных переходов и пересечениях автомобильных дорог или улиц в одном уровне, а также на расстоянии менее 150 м от них вне населенных пунктов, 50 м - в населенных пунктах;
- сбоку от автомобильной дороги или улицы на расстоянии менее 10 м* от бровки земляного полотна автомобильной дороги (бордюрного камня) вне населенных пунктов и на расстоянии менее 5 м* - в населенных пунктах;
_____________
* Расстояние до ближайшего края средства наружной рекламы. - сбоку от автомобильной дороги или улицы на расстоянии менее высоты средства наружной рекламы, если верхняя точка находится на высоте более 10 м или менее 5 м над уровнем проезжей части.
6.2 На автомобильных дорогах нижний край рекламного щита или крепящих его конструкций размещают на высоте не менее 2,0 м от уровня поверхности участка, на котором расположено средство размещения рекламы, а на территории городских и сельских поселений - на высоте не менее 4,5 м.
6.3 Расстояние в плане от фундамента до границы имеющихся подземных коммуникаций должно быть не менее 1 м.
6.4 Удаление средств наружной рекламы от линий электропередачи осветительной сети должно быть не менее 1,0 м.
6.5 (Исключен, Изм. № 2).
6.6 Расстояние от средств наружной рекламы до дорожных знаков и светофоров должно быть не менее указанного в таблице 1.
Таблица 1
| Разрешенная скорость движения на дороге (улице), км/ч | Площадь рекламного объявления, м2 | |||
|---|---|---|---|---|
| св. 18 | от 15 до 18 | от. 6 до 15 | менее 6 | |
| Более 60 | 150 | 100 | 60 | 40 |
| 60 и менее | 100 | 60 | 40 | 25 |
Допускается снижение до 50 % значений расстояний, указанных в таблице 1, при размещении средств наружной рекламы после дорожных знаков и светофоров (по ходу движения).
6.7 В зависимости от площади рекламного объявления расстояние между отдельно размещенными на одной стороне дороги средствами наружной рекламы должно быть не менее приведенного в таблице 1а.
Таблица 1а
| Место размещения наружной рекламы | Площадь рекламного объявления, м2 | ||
|---|---|---|---|
| св.18 | от 6 до 18 | менее 6 | |
| В пределах населенных пунктов | 150 | 100 | 30 |
| За пределами населенных пунктов | 200 | 100 | 40 |
6.8 (Исключен, Изм. № 1).
6.9 Не допускается размещение рекламы путем нанесения либо вкрапления, с использованием строительных материалов, краски, дорожной разметки и т. п., в поверхность автомобильных дорог и улиц.
6.10 Средства наружной рекламы размещают с учетом проекта организации движения и расположения технических средств организации дорожного движения.
6.11 При выполнении работ по монтажу и обслуживанию средств наружной рекламы должны быть соблюдены требования по обеспечению безопасности дорожного движения в местах производства дорожных работ, в том числе по [13].
6.12 Фундаменты размещения стационарных средств наружной рекламы должны быть заглублены на 15 - 20 см ниже уровня грунта с последующим восстановлением газона на нем. Фундаменты опор не должны выступать над уровнем земли более чем на 5 см. Допускается размещение выступающих более чем на 5 см фундаментов опор на тротуаре при наличии бортового камня или дорожных ограждений, если это не препятствует движению пешеходов и уборке улиц.
6.13 Рекламораспространитель обязан восстановить благоустройство территории после установки (демонтажа) средства размещения наружной рекламы. Демонтаж средств размещения наружной рекламы необходимо проводить вместе с их фундаментом.
6.14 Эксплуатацию знаков информирования об объектах притяжения проводят в соответствии с ГОСТ Р 50597.
Раздел 7 (Исключен, Изм. № 2).
Раздел 8 (Исключен, Изм. № 1).
ПРИЛОЖЕНИЕ А
(справочное)
Допустимые пиктограммы и примеры надписей для знаков информирования об объектах притяжения
Рисунок А. 1
ПРИЛОЖЕНИЕ Б
(справочное)
Допустимые размеры и пропорции знаков информирования об объектах притяжения

Рисунок Б.1
Примечания:
- На знаке допускается указание стрелкой направления движения и расстояния до указываемого объекта, а также телефона, адреса.
- На знаке допускается размещение логотипов и торговых марок указываемого объекта, а также логотипов и торговых марок фирм, продукция которых представлена в указываемом объекте или осуществляется ее сервисное обслуживание.
ПРИЛОЖЕНИЕ В
(справочное)
Библиография
- СП 20.13330.2011 СНиП 2.01.07-85* Нагрузки и воздействия
- СП 22.13330.2011 СНиП 2.02.01-83* Основания зданий и сооружений
- СП 63.13330.2012 СНиП 52-01-2003 Бетонные и железобетонные конструкции. Основные положения
- СП 128.13330.2012 СНиП 2.03.06-85 Алюминиевые конструкции
- СП 16.13330.2011 СНиП II-23-81* Стальные конструкции
- СП 64.13330.2011 СНиП II-25-80 Деревянные конструкции
- СП 28.13330.2012 СНиП 2.03.11-85 Защита строительных конструкций от коррозии
- СП 15.13330.2012 СНиП II-22-81* Каменные и армокаменные конструкции
- СП 112.13330.2011 СНиП 21-01-97* Пожарная безопасность зданий и сооружений
- Правила устройства электроустановок. Издание 7, дата актуализации - 21.05.2015
- Правила технической эксплуатации электроустановок потребителей, 2015
- ПОТ Р М-016-2001 Межотраслевые правила по охране труда (правила безопасности) при эксплуатации электроустановок
Приложение Г
(обязательное)
Требования к территориальному размещению рекламных конструкций. Порядок определения границ коридора безопасности
Г.1 Зона разрешенного безопасного размещения рекламных конструкций определяется как территория за пределами коридора безопасности, границы которого устанавливаются в соответствии с настоящим приложением.
Г.2 Границы коридора безопасности определяются по общему правилу следующим образом:
- ширина коридора безопасности определяется от края проезжей части до ближайшей к краю проезжей части точки горизонтальной проекции края рекламной конструкции и составляет 0,6 м в населенном пункте;
- опоры рекламных конструкций должны быть установлены за пределами коридора безопасности.
Г.3 В целях обеспечения видимости дорожных знаков, предусмотренных Г.3.1, Г.3.2, границы коридора безопасности определяются по правилам, установленным Г.4, с учетом правил, указанных в Г.2.
Указанные в Г.4 требования не распространяются на рекламные конструкции, площадь информационного поля которых составляет менее 4,5 м2, а также на рекламные конструкции, совмещенные с городской мебелью (модульные рекламные конструкции), в т.ч. на средства наружной рекламы, являющиеся конструктивной частью остановочных павильонов общественного транспорта.
Г.3.1 Для обеспечения видимости средств организации дорожного движения, установленных по ходу движения слева или справа от проезжей части в целях информирования водителей транспортных средств о необходимости или возможной необходимости остановки транспортного средства (светофоры дорожные, знаки дорожные 1.1-1.34.3, 2.1-2.7, 3.1-3.25, 3.31-3.33, 4.1.1-4.8-3, 5.1-5.6, 5.8-5.12.2, 5.15.1-5.17, 5.19.1-5.20, 5.23.1-5.24.2, 5.31-5.33, 6.3.1, 6.3.2, 6.8.1-6.8.3, 6.16-6.18.3, 7.12, 7.14, 8.13, 8.15, 8.22.1-8.22.3 по ГОСТ Р 52290), границы коридора безопасности определяются в соответствии с Г.4, при этом Sбез определяется по формуле (Г.3).
Г.3.2 Для обеспечения видимости дорожных знаков: 3.26-3.30, 5.7.1, 5.7.2, 5.13.1-5.14.3, 5.18, 5.21, 5.22, 5.25-5.30, 5.34, 6.1, 6.2, 6.4-6.7, 6.9.1-6.15.3, 6.19.1-6.21.2, 7.1-7.11, 7.13, 7.15-7.20 по ГОСТ Р 52290, установленных по ходу движения слева или справа от проезжей части, границы коридора безопасности определяются в соответствии с Г.4, при этом Sбез принимается равным 14 м (при максимальной разрешенной скорости движения на участке дороги 60 км/ч) или 9 м (при максимальной разрешенной скорости движения на участке дороги 40 км/ч).
Г.3.3 Расстояние от рекламной конструкции, площадь информационного поля которой составляет менее 4,5 м2, до расположенного по ходу движения за рекламной конструкцией пешеходного перехода должно составлять не менее 5 м.
Г.4 Параметры коридора безопасности (рисунок Г.1) в целях обеспечения видимости дорожных знаков, предусмотренных Г.3.1, Г.3.2, в каждом конкретном случае определяются по формулам (Г.1), (Г.2), (Г.4). Результаты расчетов параметров коридоров безопасности для наиболее распространенных случаев в отношении дорожных знаков, предусмотренных Г.3.1, приведены в таблицах Г.1-Г.27.

DGH - границы коридора безопасности; PB - край проезжей части; O' - транспортное средство; CC' - дорожный знак (светофор), предусмотренный Г.3.1, Г.3.2; RбезЗК - минимальное расстояние от середины крайней полосы движения, определяемое по формуле (Г.2), при котором обеспечивается видимость дорожного знака, предусмотренного Г.3.1, Г.3.2.
ля случаев установки рекламных конструкций слева от проезжей части рисунок необходимо читать в зеркальном отображении относительно AO'.
Рисунок Г.1 - Определение параметров границ коридора безопасности
Г.5 Минимальное расстояние в метрах от установленной справа или слева от проезжей части рекламной конструкции до расположенного по ходу движения дорожного знака, предусмотренного Г.3.1, Г.3.2, определяется в зависимости от расстояния от места установки рекламной конструкции до проезжей части по следующим формулам:
Г.5.1 Для всех рекламных конструкций кроме конструкций Т-образного или Г-образного типа с информационным полем, расположенным между опорой и проезжей частью:

Формула Г.1
где Sруст - минимально допустимое расстояние от места установки рекламной конструкции до линии установки дорожного знака, предусмотренного Г.3.1, Г.3.2 (AD по рисунку Г.1), м;
lв= ½ ширины полосы движения, ближайшей к месту установки рекламной конструкции, м;
lруст - расстояние от края проезжей части до ближайшей к краю проезжей части точки рекламной конструкции.
При этом:

Формула Г.2
где hд.з - габаритная высота дорожного знака над уровнем проезжей части, м (в случае, если на одной опоре размещено несколько дорожных знаков, предусмотренных Г.3.1, Г.3.2, для расчетов принимается габаритная высота верхнего дорожного знака);
hв - высота уровня глаз водителя над уровнем проезжей части, принимается равной 1,2 м;
lд.з - расстояние от края проезжей части до дальней от края проезжей части точки горизонтальной проекции дорожного знака (в случае, если на одной опоре размещено несколько дорожных знаков, предусмотренных Г.3.1, Г.3.2, расчеты осуществляются по самому дальнему от проезжей части дорожному знаку), м;
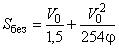
Sбездля дорожных знаков, предусмотренных Г.3.1 - расстояние безопасного торможения (остановочный путь) (O'A по рисунку Г.1), определяется по формуле:

Формула Г.3
где V0 - максимальная разрешенная скорость на участке дороги, км/ч;
φ - коэффициент продольного дорожного сцепления, принимается равным 0,4.
Sбездля дорожных знаков, предусмотренных Г.3.2 - путь, проходимый транспортным средством за время распознавания водителем информации дорожного знака, принимается равным 14 м (при максимальной разрешенной скорости движения на участке дороги 60 км/ч) или 9 м (при максимальной разрешенной скорости движения на участке дороги 40 км/ч).
Если при расчете Sруст принимает значения меньшие 0,2 м, значение Sруст принимается равным 0,2 м.
Для расчетов по таблицам параметров границ коридора безопасности Г.1-Г.27 принимают:
V0 = 60км/ч, φ = 0,4, lв = 1,75м, hв = 1,2м, Sбез = 75,4м.
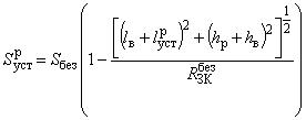
Г.5.2 Для рекламных конструкций, относящихся к Т-образному типу или Г-образному типу с информационным полем, расположенным между опорой и проезжей частью:

Формула Г.4
где Sруст - минимально допустимое расстояние от места установки рекламной конструкции до линии установки дорожного знака, предусмотренного Г.3.1, Г.3.2 (AD по рисунку Г.1), м;
lруст - расстояние от края проезжей части до ближайшего к краю проезжей части края горизонтальной проекции рекламного поля конструкции, м;
hв - высота уровня глаз водителя над уровнем проезжей части, принимается равной 1,2 м;
hр - высота рекламной конструкции (от уровня проезжей части до нижнего края информационного поля), м;
RбезЗК - определяется по формуле (Г.2);
Sбездля дорожных знаков, предусмотренных Г.3.2, принимается равным 14 м (при максимальной разрешенной скорости движения на участке дороги 60 км/ч) или 9 м (при максимальной разрешенной скорости движения на участке дороги 40 км/ч); для дорожных знаков, предусмотренных Г.3.1, определяется по формуле (Г.3).
Если при расчете Sруст принимает значения меньшие 0,2 м, значение Sруст принимается равным 0,2 м.
Г.6 Таблицы параметров коридора безопасности
Г.6.1 Таблицы определения минимального расстояния от установленной сбоку от проезжей части рекламной конструкции до расположенного по ходу движения дорожного знака, предусмотренного Г.3.1, в зависимости от расстояния от края проезжей части до края рекламной конструкции для всех рекламных конструкций, кроме конструкций Т-образного типа или Г-образного типа с информационным полем, расположенным между опорой и проезжей частью.
Таблица Г.1 - Определение минимального расстояния от установленной сбоку от проезжей части рекламной конструкции до расположенного по ходу движения дорожного знака, предусмотренного Г.3.1 (Sуст, м), в зависимости от расстояния от края проезжей части до ближайшей точки рекламной конструкции ( lуст, м) при габаритной высоте дорожного знака над уровнем проезжей части hд.з = 5 м
(Sбез = 75,4 м; hв = 1,2 м; hд.з = 5 м; lв = 1,75 м; φ = 0,4 ; V0 = 60 км/ч)
Таблица Г.1
в метрах
Г.6 Таблицы параметров коридора безопасности
Г.6.1 Таблицы определения минимального расстояния от установленной сбоку от проезжей части рекламной конструкции до расположенного по ходу движения дорожного знака, предусмотренного Г.3.1, в зависимости от расстояния от края проезжей части до края рекламной конструкции для всех рекламных конструкций, кроме конструкций Т-образного типа или Г-образного типа с информационным полем, расположенным между опорой и проезжей частью.
Таблица Г.1 - Определение минимального расстояния от установленной сбоку от проезжей части рекламной конструкции до расположенного по ходу движения дорожного знака, предусмотренного Г.3.1 (Sуст, м), в зависимости от расстояния от края проезжей части до ближайшей точки рекламной конструкции (lуст, м) при габаритной высоте дорожного знака над уровнем проезжей части hд.з = 5 м
(Sбез = 75,4 м; hв = 1,2 м; hд.з = 5 м; lв = 1,75;
= 0,4; V0 = 60 км/ч)
Таблица Г.1
В метрах
| Расстояние от края проезжей части до дальней от края проезжей части точки горизонтальной проекции дорожного знака, предусмотренного Г.3.1, lд.з, м | Расстояние от края проезжей части до ближайшей точки рекламной конструкции lуст | |||||||||
| 0,6 | 1 | 1,5 | 2 | 2,5 | 3 | 3,5 | 4 | 4,5 | 5 | |
| Минимальное расстояние от установленной сбоку от проезжей части рекламной конструкции до расположенного по ходу движения дорожного знака, предусмотренного Г.3.1, Sуст | ||||||||||
| 0,75 | 40,0 | 34,0 | 26,4 | 18,9 | 11,4 | 3,8 | 0,2 | 0,2 | 0,2 | 0,2 |
| 1 | 41,1 | 35,2 | 27,9 | 20,6 | 13,3 | 6,0 | 0,2 | 0,2 | 0,2 | 0,2 |
| 1,25 | 42,1 | 36,5 | 29,4 | 22,3 | 15,2 | 8,1 | 1,1 | 0,2 | 0,2 | 0,2 |
| 1,5 | 43,2 | 37,7 | 30,8 | 24,0 | 17,1 | 10,3 | 3,4 | 0,2 | 0,2 | 0,2 |
| 1,75 | 44,2 | 38,9 | 32,3 | 25,6 | 19,0 | 12,4 | 5,7 | 0,2 | 0,2 | 0,2 |
| 2 | 45,2 | 40,1 | 33,7 | 27,3 | 20,8 | 14,4 | 8,0 | 1,6 | 0,2 | 0,2 |
| 2,25 | 46,2 | 41,2 | 35,0 | 28,8 | 22,6 | 16,4 | 10,2 | 4,0 | 0,2 | 0,2 |
| 2,5 | 47,1 | 42,3 | 36,3 | 30,3 | 24,3 | 18,3 | 12,3 | 6,3 | 0,3 | 0,2 |
| 2,75 | 48,1 | 43,4 | 37,6 | 31,8 | 25,9 | 20,1 | 14,3 | 8,5 | 2,7 | 0,2 |
| 3 | 48,9 | 44,4 | 38,8 | 33,1 | 27,5 | 21,9 | 16,2 | 10,6 | 5,0 | 0,2 |
| 3,25 | 49,8 | 45,4 | 39,9 | 34,5 | 29,0 | 23,6 | 18,1 | 12,6 | 7,2 | 1,7 |
| 3,5 | 50,5 | 46,3 | 41,0 | 35,7 | 30,4 | 25,2 | 19,9 | 14,6 | 9,3 | 4,0 |
| 3,75 | 51,3 | 47,2 | 42,1 | 36,9 | 31,8 | 26,7 | 21,6 | 16,4 | 11,3 | 6,2 |
| 4 | 52,0 | 48,1 | 43,1 | 38,1 | 33,1 | 28,2 | 23,2 | 18,2 | 13,2 | 8,3 |
| 4,25 | 52,7 | 48,9 | 44,0 | 39,2 | 34,4 | 29,6 | 24,7 | 19,9 | 15,1 | 10,3 |
| 4,5 | 53,4 | 49,6 | 44,9 | 40,3 | 35,6 | 30,9 | 26,2 | 21,5 | 16,8 | 12,1 |
| 4,75 | 54,0 | 50,4 | 45,8 | 41,3 | 36,7 | 32,2 | 27,6 | 23,1 | 18,5 | 13,9 |
| 5 | 54,6 | 51,1 | 46,6 | 42,2 | 37,8 | 33,4 | 28,9 | 24,5 | 20,1 | 15,7 |
Таблица Г.2 - Определение минимального расстояния от установленной сбоку от проезжей части рекламной конструкции до расположенного по ходу движения дорожного знака, предусмотренного Г.3.1 (Sуст, м), в зависимости от расстояния от края проезжей части до ближайшей точки рекламной конструкции (lуст, м) при габаритной высоте дорожного знака над уровнем проезжей части hд.з = 4 м
(Sбез = 75,4 м; hв = 1,2 м; hд.з = 4 м; lв = 1,75;
= 0,4; V0 = 60 км/ч)
Таблица Г.2
В метрах
| Расстояние от края проезжей части до дальней от края проезжей части точки горизонтальной проекции дорожного знака, предусмотренного Г.3.1, lд.з, м | Расстояние от края проезжей части до ближайшей точки рекламной конструкции lуст | |||||||||
| 0,6 | 1 | 1,5 | 2 | 2,5 | 3 | 3,5 | 4 | 4,5 | 5 | |
| Минимальное расстояние от установленной сбоку от проезжей части рекламной конструкции до расположенного по ходу движения дорожного знака, предусмотренного Г.3.1, Sуст | ||||||||||
| 0,75 | 32,5 | 25,2 | 16,1 | 6,9 | 0,2 | 0,2 | 0,2 | 0,2 | 0,2 | 0,2 |
| 1 | 34,4 | 27,4 | 18,6 | 9,9 | 1,2 | 0,2 | 0,2 | 0,2 | 0,2 | 0,2 |
| 1,25 | 36,1 | 29,5 | 21,1 | 12,8 | 4,4 | 0,2 | 0,2 | 0,2 | 0,2 | 0,2 |
| 1,5 | 37,9 | 31,5 | 23,5 | 15,5 | 7,5 | 0,2 | 0,2 | 0,2 | 0,2 | 0,2 |
| 1,75 | 39,5 | 33,3 | 25,7 | 18,1 | 10,4 | 2,8 | 0,2 | 0,2 | 0,2 | 0,2 |
| 2 | 41,0 | 35,1 | 27,8 | 20,5 | 13,2 | 5,8 | 0,2 | 0,2 | 0,2 | 0,2 |
| 2,25 | 42,4 | 36,8 | 29,8 | 22,8 | 15,7 | 8,7 | 1,7 | 0,2 | 0,2 | 0,2 |
| 2,5 | 43,7 | 38,4 | 31,6 | 24,9 | 18,2 | 11,4 | 4,7 | 0,2 | 0,2 | 0,2 |
| 2,75 | 45,0 | 39,8 | 33,4 | 26,9 | 20,4 | 14,0 | 7,5 | 1,0 | 0,2 | 0,2 |
| 3 | 46,2 | 41,2 | 35,0 | 28,8 | 22,6 | 16,4 | 10,1 | 3,9 | 0,2 | 0,2 |
| 3,25 | 47,3 | 42,5 | 36,5 | 30,5 | 24,6 | 18,6 | 12,6 | 6,6 | 0,6 | 0,2 |
| 3,5 | 48,3 | 43,7 | 38,0 | 32,2 | 26,4 | 20,7 | 14,9 | 9,2 | 3,4 | 0,2 |
| 3,75 | 49,3 | 44,9 | 39,3 | 33,8 | 28,2 | 22,6 | 17,1 | 11,5 | 6,0 | 0,4 |
| 4 | 50,2 | 45,9 | 40,6 | 35,2 | 29,8 | 24,5 | 19,1 | 13,8 | 8,4 | 3,1 |
| 4,25 | 51,1 | 46,9 | 41,8 | 36,6 | 31,4 | 26,2 | 21,0 | 15,9 | 10,7 | 5,5 |
| 4,5 | 51,9 | 47,9 | 42,9 | 37,9 | 32,9 | 27,9 | 22,9 | 17,8 | 12,8 | 7,8 |
| 4,75 | 52,6 | 48,8 | 43,9 | 39,1 | 34,2 | 29,4 | 24,6 | 19,7 | 14,9 | 10,0 |
| 5 | 53,4 | 49,6 | 44,9 | 40,2 | 35,5 | 30,8 | 26,2 | 21,5 | 16,8 | 12,1 |
Таблица Г.3 - Определение минимального расстояния от установленной сбоку от проезжей части рекламной конструкции до расположенного по ходу движения дорожного знака, предусмотренного Г.3.1 (Sуст, м), в зависимости от расстояния от края проезжей части до ближайшей точки рекламной конструкции (lуст, м) при габаритной высоте дорожного знака над уровнем проезжей части hд.з = 3 м
(Sбез = 75,4 м; hв = 1,2 м; hд.з = 3 м; lв = 1,75;
= 0,4; V0 = 60 км/ч)
Таблица Г.3
В метрах
| Расстояние от края проезжей части до дальней от края проезжей части точки горизонтальной проекции дорожного знака, предусмотренного Г.3.1, lд.з, м | Расстояние от края проезжей части до ближайшей точки рекламной конструкции lуст | |||||||||
| 0,6 | 1 | 1,5 | 2 | 2,5 | 3 | 3,5 | 4 | 4,5 | 5 | |
| Минимальное расстояние от установленной сбоку от проезжей части рекламной конструкции до расположенного по ходу движения дорожного знака, предусмотренного Г.3.1, Sуст | ||||||||||
| 0,75 | 23,1 | 14,2 | 3,1 | 0,2 | 0,2 | 0,2 | 0,2 | 0,2 | 0,2 | 0,2 |
| 1 | 26,4 | 18,0 | 7,6 | 0,2 | 0,2 | 0,2 | 0,2 | 0,2 | 0,2 | 0,2 |
| 1,25 | 29,4 | 21,5 | 11,7 | 1,9 | 0,2 | 0,2 | 0,2 | 0,2 | 0,2 | 0,2 |
| 1,5 | 32,0 | 24,7 | 15,4 | 6,2 | 0,2 | 0,2 | 0,2 | 0,2 | 0,2 | 0,2 |
| 1,75 | 34,5 | 27,5 | 18,8 | 10,1 | 1,4 | 0,2 | 0,2 | 0,2 | 0,2 | 0,2 |
| 2 | 36,7 | 30,1 | 21,8 | 13,6 | 5,4 | 0,2 | 0,2 | 0,2 | 0,2 | 0,2 |
| 2,25 | 38,7 | 32,4 | 24,6 | 16,8 | 9,0 | 1,2 | 0,2 | 0,2 | 0,2 | 0,2 |
| 2,5 | 40,5 | 34,6 | 27,1 | 19,7 | 12,3 | 4,9 | 0,2 | 0,2 | 0,2 | 0,2 |
| 2,75 | 42,2 | 36,5 | 29,4 | 22,4 | 15,3 | 8,2 | 1,2 | 0,2 | 0,2 | 0,2 |
| 3 | 43,7 | 38,3 | 31,5 | 24,8 | 18,0 | 11,3 | 4,6 | 0,2 | 0,2 | 0,2 |
| 3,25 | 45,1 | 39,9 | 33,5 | 27,0 | 20,6 | 14,1 | 7,7 | 1,2 | 0,2 | 0,2 |
| 3,5 | 46,4 | 41,4 | 35,3 | 29,1 | 22,9 | 16,7 | 10,6 | 4,4 | 0,2 | 0,2 |
| 3,75 | 47,6 | 42,8 | 36,9 | 31,0 | 25,1 | 19,1 | 13,2 | 7,3 | 1,4 | 0,2 |
| 4 | 48,7 | 44,1 | 38,4 | 32,7 | 27,0 | 21,4 | 15,7 | 10,0 | 4,3 | 0,2 |
| 4,25 | 49,7 | 45,3 | 39,8 | 34,4 | 28,9 | 23,4 | 18,0 | 12,5 | 7,0 | 1,5 |
| 4,5 | 50,6 | 46,4 | 41,1 | 35,9 | 30,6 | 25,3 | 20,1 | 14,8 | 9,5 | 4,3 |
| 4,75 | 51,5 | 47,5 | 42,4 | 37,3 | 32,2 | 27,1 | 22,0 | 17,0 | 11,9 | 6,8 |
| 5 | 52,3 | 48,4 | 43,5 | 38,6 | 33,7 | 28,8 | 23,9 | 19,0 | 14,1 | 9,2 |
Г.6.2. Таблицы определения минимального расстояния от установленной сбоку от проезжей части рекламной конструкции до расположенного по ходу движения дорожного знака, предусмотренного Г.3.1, в зависимости от расстояния от края проезжей части до ближайшего края горизонтальной проекции рекламного поля для рекламных конструкций, относящихся к Т-образному типу или Г-образному типу с информационным полем, расположенным между опорой и проезжей частью
Таблица Г.4 - Определение минимального расстояния от установленной сбоку от проезжей части рекламной конструкции до расположенного по ходу движения дорожного знака, предусмотренного Г.3.1 (Sуст, м), в зависимости от расстояния от края проезжей части до ближайшего края горизонтальной проекции рекламного поля конструкции (lуст, м) при габаритной высоте дорожного знака над уровнем проезжей части hд.з = 5 м и высоте рекламной конструкции от уровня проезжей части до нижнего края информационного поля hр = 2,5 м
(Sбез = 75,4 м; hв = 1,2 м; lв = 1,75;
= 0,4; V0 = 60 км/ч; hд.з = 5 м; hр = 2,5 м)
Таблица Г.4
В метрах
| Расстояние от края проезжей части до дальней от края проезжей части точки горизонтальной проекции дорожного знака, предусмотренного Г.3.1, lд.з, м | Расстояние от края проезжей части до ближайшего края горизонтальной проекции рекламного поля конструкции lуст | |||||||||
| 0,6 | 1 | 1,5 | 2 | 2,5 | 3 | 3,5 | 4 | 4,5 | 5 | |
| Минимальное расстояние от установленной сбоку от проезжей части рекламной конструкции до расположенного по ходу движения дорожного знака, предусмотренного Г.3.1, Sуст | ||||||||||
| 0,75 | 34,9 | 29,6 | 22,7 | 15,6 | 8,4 | 1,2 | 0,2 | 0,2 | 0,2 | 0,2 |
| 1 | 36,2 | 30,9 | 24,2 | 17,4 | 10,5 | 3,4 | 0,2 | 0,2 | 0,2 | 0,2 |
| 1,25 | 37,4 | 32,3 | 25,8 | 19,2 | 12,5 | 5,7 | 0,2 | 0,2 | 0,2 | 0,2 |
| 1,5 | 38,6 | 33,7 | 27,4 | 21,0 | 14,5 | 7,9 | 1,3 | 0,2 | 0,2 | 0,2 |
| 1,75 | 39,8 | 35,0 | 29,0 | 22,7 | 16,4 | 10,1 | 3,6 | 0,2 | 0,2 | 0,2 |
| 2 | 40,9 | 36,3 | 30,5 | 24,4 | 18,3 | 12,2 | 6,0 | 0,2 | 0,2 | 0,2 |
| 2,25 | 42,0 | 37,6 | 31,9 | 26,1 | 20,2 | 14,2 | 8,2 | 2,2 | 0,2 | 0,2 |
| 2,5 | 43,1 | 38,8 | 33,3 | 27,7 | 22,0 | 16,2 | 10,4 | 4,5 | 0,2 | 0,2 |
| 2,75 | 44,1 | 40,0 | 34,7 | 29,2 | 23,7 | 18,1 | 12,5 | 6,8 | 1,1 | 0,2 |
| 3 | 45,1 | 41,1 | 36,0 | 30,7 | 25,3 | 19,9 | 14,5 | 9,0 | 3,5 | 0,2 |
| 3,25 | 46,1 | 42,2 | 37,2 | 32,1 | 26,9 | 21,6 | 16,4 | 11,1 | 5,7 | 0,4 |
| 3,5 | 47,0 | 43,2 | 38,4 | 33,4 | 28,4 | 23,3 | 18,2 | 13,1 | 7,9 | 2,7 |
| 3,75 | 47,9 | 44,2 | 39,5 | 34,7 | 29,8 | 24,9 | 19,9 | 15,0 | 9,9 | 4,9 |
| 4 | 48,7 | 45,1 | 40,6 | 35,9 | 31,2 | 26,4 | 21,6 | 16,8 | 11,9 | 7,0 |
| 4,25 | 49,5 | 46,0 | 41,6 | 37,1 | 32,5 | 27,9 | 23,2 | 18,5 | 13,8 | 9,1 |
| 4,5 | 50,2 | 46,9 | 42,6 | 38,2 | 33,8 | 29,3 | 24,7 | 20,2 | 15,6 | 11,0 |
| 4,75 | 51,0 | 47,7 | 43,5 | 39,3 | 34,9 | 30,6 | 26,2 | 21,7 | 17,3 | 12,8 |
| 5 | 51,6 | 48,5 | 44,4 | 40,3 | 36,1 | 31,8 | 27,5 | 23,2 | 18,9 | 14,6 |
Таблица Г.5 - Определение минимального расстояния от установленной сбоку от проезжей части рекламной конструкции до расположенного по ходу движения дорожного знака, предусмотренного Г.3.1 (Sуст, м), в зависимости от расстояния от края проезжей части до ближайшего края горизонтальной проекции рекламного поля конструкции (lуст, м) при габаритной высоте дорожного знака над уровнем проезжей части hд.з = 4 м и высоте рекламной конструкции от уровня проезжей части до нижнего края информационного поля hр = 2,5 м
(Sбез = 75,4 м; hв = 1,2 м; lв = 1,75;
= 0,4; V0 = 60 км/ч; hд.з = 4 м; hр = 2,5 м)
Таблица Г.5
В метрах
| Расстояние от края проезжей части до дальней от края проезжей части точки горизонтальной проекции дорожного знака, предусмотренного Г.3.1, lд.з, м | Расстояние от края проезжей части до ближайшего края горизонтальной проекции рекламного поля конструкции lуст | |||||||||
| 0,6 | 1 | 1,5 | 2 | 2,5 | 3 | 3,5 | 4 | 4,5 | 5 | |
| Минимальное расстояние от установленной сбоку от проезжей части рекламной конструкции до расположенного по ходу движения дорожного знака, предусмотренного Г.3.1, Sуст | ||||||||||
| 0,75 | 26,4 | 19,9 | 11,5 | 2,9 | 0,2 | 0,2 | 0,2 | 0,2 | 0,2 | 0,2 |
| 1 | 28,5 | 22,3 | 14,3 | 6,1 | 0,2 | 0,2 | 0,2 | 0,2 | 0,2 | 0,2 |
| 1,25 | 30,5 | 24,6 | 16,9 | 9,1 | 1,2 | 0,2 | 0,2 | 0,2 | 0,2 | 0,2 |
| 1,5 | 32,5 | 26,8 | 19,5 | 12,0 | 4,4 | 0,2 | 0,2 | 0,2 | 0,2 | 0,2 |
| 1,75 | 34,3 | 28,9 | 21,9 | 14,7 | 7,4 | 0,2 | 0,2 | 0,2 | 0,2 | 0,2 |
| 2 | 36,1 | 30,8 | 24,1 | 17,3 | 10,3 | 3,3 | 0,2 | 0,2 | 0,2 | 0,2 |
| 2,25 | 37,7 | 32,7 | 26,3 | 19,7 | 13,0 | 6,3 | 0,2 | 0,2 | 0,2 | 0,2 |
| 2,5 | 39,2 | 34,4 | 28,3 | 21,9 | 15,5 | 9,1 | 2,6 | 0,2 | 0,2 | 0,2 |
| 2,75 | 40,7 | 36,1 | 30,1 | 24,1 | 17,9 | 11,7 | 5,5 | 0,2 | 0,2 | 0,2 |
| 3 | 42,0 | 37,6 | 31,9 | 26,1 | 20,1 | 14,2 | 8,2 | 2,1 | 0,2 | 0,2 |
| 3,25 | 43,3 | 39,0 | 33,5 | 27,9 | 22,2 | 16,5 | 10,7 | 4,9 | 0,2 | 0,2 |
| 3,5 | 44,5 | 40,4 | 35,1 | 29,7 | 24,2 | 18,7 | 13,1 | 7,5 | 1,9 | 0,2 |
| 3,75 | 45,6 | 41,6 | 36,5 | 31,3 | 26,0 | 20,7 | 15,3 | 9,9 | 4,5 | 0,2 |
| 4 | 46,6 | 42,8 | 37,9 | 32,9 | 27,8 | 22,6 | 17,4 | 12,2 | 7,0 | 1,7 |
| 4,25 | 47,6 | 43,9 | 39,2 | 34,3 | 29,4 | 24,4 | 19,4 | 14,4 | 9,3 | 4,2 |
| 4,5 | 48,5 | 45,0 | 40,4 | 35,7 | 30,9 | 26,1 | 21,3 | 16,4 | 11,5 | 6,6 |
| 4,75 | 49,4 | 45,9 | 41,5 | 37,0 | 32,4 | 27,7 | 23,0 | 18,3 | 13,6 | 8,8 |
| 5 | 50,2 | 46,9 | 42,6 | 38,2 | 33,7 | 29,2 | 24,7 | 20,1 | 15,5 | 10,9 |
Таблица Г.6 - Определение минимального расстояния от установленной сбоку от проезжей части рекламной конструкции до расположенного по ходу движения дорожного знака, предусмотренного Г.3.1 (Sуст, м), в зависимости от расстояния от края проезжей части до ближайшего края горизонтальной проекции рекламного поля конструкции (lуст, м) при габаритной высоте дорожного знака над уровнем проезжей части hд.з = 3 м и высоте рекламной конструкции от уровня проезжей части до нижнего края информационного поля hр = 2,5 м
(Sбез = 75,4 м; hв = 1,2 м; lв = 1,75;
= 0,4; V0 = 60 км/ч; hд.з = 3 м; hр = 2,5 м)
Таблица Г.6
В метрах
| Расстояние от края проезжей части до дальней от края проезжей части точки горизонтальной проекции дорожного знака, предусмотренного Г.3.1, lд.з, м | Расстояние от края проезжей части до ближайшего края горизонтальной проекции рекламного поля конструкции lуст | |||||||||
| 0,6 | 1 | 1,5 | 2 | 2,5 | 3 | 3,5 | 4 | 4,5 | 5 | |
| Минимальное расстояние от установленной сбоку от проезжей части рекламной конструкции до расположенного по ходу движения дорожного знака, предусмотренного Г.3.1, Sуст | ||||||||||
| 0,75 | 15,6 | 7,7 | 0,2 | 0,2 | 0,2 | 0,2 | 0,2 | 0,2 | 0,2 | 0,2 |
| 1 | 19,4 | 12,0 | 2,4 | 0,2 | 0,2 | 0,2 | 0,2 | 0,2 | 0,2 | 0,2 |
| 1,25 | 22,8 | 15,8 | 6,8 | 0,2 | 0,2 | 0,2 | 0,2 | 0,2 | 0,2 | 0,2 |
| 1,5 | 25,9 | 19,3 | 10,8 | 2,2 | 0,2 | 0,2 | 0,2 | 0,2 | 0,2 | 0,2 |
| 1,75 | 28,6 | 22,4 | 14,4 | 6,3 | 0,2 | 0,2 | 0,2 | 0,2 | 0,2 | 0,2 |
| 2 | 31,1 | 25,3 | 17,7 | 10,0 | 2,2 | 0,2 | 0,2 | 0,2 | 0,2 | 0,2 |
| 2,25 | 33,4 | 27,9 | 20,7 | 13,4 | 5,9 | 0,2 | 0,2 | 0,2 | 0,2 | 0,2 |
| 2,5 | 35,5 | 30,2 | 23,4 | 16,5 | 9,4 | 2,3 | 0,2 | 0,2 | 0,2 | 0,2 |
| 2,75 | 37,4 | 32,4 | 25,9 | 19,3 | 12,5 | 5,8 | 0,2 | 0,2 | 0,2 | 0,2 |
| 3 | 39,2 | 34,4 | 28,2 | 21,8 | 15,4 | 8,9 | 2,4 | 0,2 | 0,2 | 0,2 |
| 3,25 | 40,8 | 36,2 | 30,2 | 24,2 | 18,1 | 11,9 | 5,6 | 0,2 | 0,2 | 0,2 |
| 3,5 | 42,2 | 37,8 | 32,2 | 26,4 | 20,5 | 14,6 | 8,6 | 2,6 | 0,2 | 0,2 |
| 3,75 | 43,6 | 39,4 | 33,9 | 28,4 | 22,8 | 17,1 | 11,3 | 5,6 | 0,2 | 0,2 |
| 4 | 44,8 | 40,8 | 35,6 | 30,2 | 24,8 | 19,4 | 13,9 | 8,3 | 2,8 | 0,2 |
| 4,25 | 46,0 | 42,1 | 37,1 | 32,0 | 26,8 | 21,5 | 16,2 | 10,9 | 5,5 | 0,2 |
| 4,5 | 47,1 | 43,3 | 38,5 | 33,6 | 28,6 | 23,5 | 18,4 | 13,3 | 8,1 | 3,0 |
| 4,75 | 48,1 | 44,5 | 39,8 | 35,1 | 30,2 | 25,4 | 20,4 | 15,5 | 10,5 | 5,5 |
| 5 | 49,0 | 45,6 | 41,1 | 36,5 | 31,8 | 27,1 | 22,3 | 17,6 | 12,8 | 8,0 |
Таблица Г.7 - Определение минимального расстояния от установленной сбоку от проезжей части рекламной конструкции до расположенного по ходу движения дорожного знака, предусмотренного Г.3.1 (Sуст, м), в зависимости от расстояния от края проезжей части до ближайшего края горизонтальной проекции рекламного поля конструкции (lуст, м) при габаритной высоте дорожного знака над уровнем проезжей части hд.з = 5 м и высоте рекламной конструкции от уровня проезжей части до нижнего края информационного поля hр = 3 м
(Sбез = 75,4 м; hв = 1,2 м; lв = 1,75;
= 0,4; V0 = 60 км/ч; hд.з = 5 м; hр = 3 м)
Таблица Г.7
В метрах
| Расстояние от края проезжей части до дальней от края проезжей части точки горизонтальной проекции дорожного знака, предусмотренного Г.3.1, lд.з, м | Расстояние от края проезжей части до ближайшего края горизонтальной проекции рекламного поля конструкции lуст | |||||||||
| 0,6 | 1 | 1,5 | 2 | 2,5 | 3 | 3,5 | 4 | 4,5 | 5 | |
| Минимальное расстояние от установленной сбоку от проезжей части рекламной конструкции до расположенного по ходу движения дорожного знака, предусмотренного Г.3.1, Sуст | ||||||||||
| 0,75 | 30,8 | 25,9 | 19,4 | 12,7 | 5,8 | 0,2 | 0,2 | 0,2 | 0,2 | 0,2 |
| 1 | 32,1 | 27,4 | 21,1 | 14,6 | 8,0 | 1,2 | 0,2 | 0,2 | 0,2 | 0,2 |
| 1,25 | 33,5 | 28,9 | 22,8 | 16,5 | 10,1 | 3,5 | 0,2 | 0,2 | 0,2 | 0,2 |
| 1,5 | 34,8 | 30,3 | 24,5 | 18,4 | 12,1 | 5,8 | 0,2 | 0,2 | 0,2 | 0,2 |
| 1,75 | 36,1 | 31,8 | 26,1 | 20,2 | 14,2 | 8,0 | 1,8 | 0,2 | 0,2 | 0,2 |
| 2 | 37,4 | 33,2 | 27,7 | 22,0 | 16,1 | 10,2 | 4,1 | 0,2 | 0,2 | 0,2 |
| 2,25 | 38,6 | 34,6 | 29,2 | 23,7 | 18,1 | 12,3 | 6,4 | 0,5 | 0,2 | 0,2 |
| 2,5 | 39,8 | 35,9 | 30,7 | 25,4 | 19,9 | 14,3 | 8,7 | 3,0 | 0,2 | 0,2 |
| 2,75 | 40,9 | 37,1 | 32,2 | 27,0 | 21,7 | 16,3 | 10,8 | 5,3 | 0,2 | 0,2 |
| 3 | 42,0 | 38,4 | 33,5 | 28,5 | 23,4 | 18,2 | 12,9 | 7,5 | 2,1 | 0,2 |
| 3,25 | 43,1 | 39,5 | 34,9 | 30,0 | 25,0 | 20,0 | 14,8 | 9,6 | 4,4 | 0,2 |
| 3,5 | 44,1 | 40,6 | 36,1 | 31,4 | 26,6 | 21,7 | 16,7 | 11,7 | 6,6 | 1,5 |
| 3,75 | 45,0 | 41,7 | 37,3 | 32,7 | 28,1 | 23,3 | 18,5 | 13,6 | 8,7 | 3,8 |
| 4 | 46,0 | 42,7 | 38,5 | 34,0 | 29,5 | 24,9 | 20,2 | 15,5 | 10,7 | 5,9 |
| 4,25 | 46,8 | 43,7 | 39,5 | 35,3 | 30,9 | 26,4 | 21,8 | 17,2 | 12,6 | 8,0 |
| 4,5 | 47,7 | 44,6 | 40,6 | 36,4 | 32,1 | 27,8 | 23,4 | 18,9 | 14,4 | 9,9 |
| 4,75 | 48,5 | 45,5 | 41,6 | 37,5 | 33,4 | 29,2 | 24,9 | 20,5 | 16,2 | 11,8 |
| 5 | 49,2 | 46,3 | 42,5 | 38,6 | 34,6 | 30,5 | 26,3 | 22,1 | 17,8 | 13,6 |
Таблица Г.8 - Определение минимального расстояния от установленной сбоку от проезжей части рекламной конструкции до расположенного по ходу движения дорожного знака, предусмотренного Г.3.1 (Sуст, м), в зависимости от расстояния от края проезжей части до ближайшего края горизонтальной проекции рекламного поля конструкции (lуст, м) при габаритной высоте дорожного знака над уровнем проезжей части hд.з = 4 м и высоте рекламной конструкции от уровня проезжей части до нижнего края информационного поля hр = 3 м
(Sбез = 75,4 м; hв = 1,2 м; lв = 1,75;
= 0,4; V0 = 60 км/ч; hд.з = 4 м; hр = 3 м)
Таблица Г.8
В метрах
| Расстояние от края проезжей части до дальней от края проезжей части точки горизонтальной проекции дорожного знака, предусмотренного Г.3.1, lд.з, м | Расстояние от края проезжей части до ближайшего края горизонтальной проекции рекламного поля конструкции lуст | |||||||||
| 0,6 | 1 | 1,5 | 2 | 2,5 | 3 | 3,5 | 4 | 4,5 | 5 | |
| Минимальное расстояние от установленной сбоку от проезжей части рекламной конструкции до расположенного по ходу движения дорожного знака, предусмотренного Г.3.1, Sуст | ||||||||||
| 0,75 | 21,3 | 15,4 | 7,6 | 0,2 | 0,2 | 0,2 | 0,2 | 0,2 | 0,2 | 0,2 |
| 1 | 23,7 | 18,0 | 10,5 | 2,7 | 0,2 | 0,2 | 0,2 | 0,2 | 0,2 | 0,2 |
| 1,25 | 26,0 | 20,5 | 13,3 | 5,9 | 0,2 | 0,2 | 0,2 | 0,2 | 0,2 | 0,2 |
| 1,5 | 28,1 | 22,9 | 16,0 | 8,9 | 1,7 | 0,2 | 0,2 | 0,2 | 0,2 | 0,2 |
| 1,75 | 30,1 | 25,1 | 18,6 | 11,8 | 4,8 | 0,2 | 0,2 | 0,2 | 0,2 | 0,2 |
| 2 | 32,0 | 27,3 | 21,0 | 14,5 | 7,8 | 1,0 | 0,2 | 0,2 | 0,2 | 0,2 |
| 2,25 | 33,8 | 29,3 | 23,2 | 17,0 | 10,6 | 4,1 | 0,2 | 0,2 | 0,2 | 0,2 |
| 2,5 | 35,5 | 31,1 | 25,4 | 19,4 | 13,2 | 7,0 | 0,7 | 0,2 | 0,2 | 0,2 |
| 2,75 | 37,1 | 32,9 | 27,4 | 21,6 | 15,7 | 9,7 | 3,6 | 0,2 | 0,2 | 0,2 |
| 3 | 38,6 | 34,5 | 29,2 | 23,7 | 18,0 | 12,3 | 6,4 | 0,5 | 0,2 | 0,2 |
| 3,25 | 40,0 | 36,1 | 31,0 | 25,6 | 20,2 | 14,6 | 9,0 | 3,3 | 0,2 | 0,2 |
| 3,5 | 41,3 | 37,5 | 32,6 | 27,5 | 22,2 | 16,9 | 11,5 | 6,0 | 0,5 | 0,2 |
| 3,75 | 42,5 | 38,9 | 34,1 | 29,2 | 24,1 | 19,0 | 13,8 | 8,5 | 3,2 | 0,2 |
| 4 | 43,7 | 40,2 | 35,6 | 30,8 | 25,9 | 21,0 | 15,9 | 10,8 | 5,7 | 0,5 |
| 4,25 | 44,8 | 41,4 | 36,9 | 32,3 | 27,6 | 22,8 | 17,9 | 13,0 | 8,1 | 3,1 |
| 4,5 | 45,8 | 42,5 | 38,2 | 33,8 | 29,2 | 24,6 | 19,9 | 15,1 | 10,3 | 5,5 |
| 4,75 | 46,7 | 43,6 | 39,4 | 35,1 | 30,7 | 26,2 | 21,6 | 17,0 | 12,4 | 7,7 |
| 5 | 47,6 | 44,6 | 40,6 | 36,4 | 32,1 | 27,8 | 23,3 | 18,9 | 14,4 | 9,9 |
Таблица Г.9 - Определение минимального расстояния от установленной сбоку от проезжей части рекламной конструкции до расположенного по ходу движения дорожного знака, предусмотренного Г.3.1 (Sуст, м), в зависимости от расстояния от края проезжей части до ближайшего края горизонтальной проекции рекламного поля конструкции (lуст, м) при габаритной высоте дорожного знака над уровнем проезжей части hд.з = 3 м и высоте рекламной конструкции от уровня проезжей части до нижнего края информационного поля hр = 3 м
(Sбез = 75,4 м; hв = 1,2 м; lв = 1,75;
= 0,4; V0 = 60 км/ч; hд.з = 3 м; hр = 3 м)
Таблица Г.9
В метрах
| Расстояние от края проезжей части до дальней от края проезжей части точки горизонтальной проекции дорожного знака, предусмотренного Г.3.1, lд.з, м | Расстояние от края проезжей части до ближайшего края горизонтальной проекции рекламного поля конструкции lуст | |||||||||
| 0,6 | 1 | 1,5 | 2 | 2,5 | 3 | 3,5 | 4 | 4,5 | 5 | |
| Минимальное расстояние от установленной сбоку от проезжей части рекламной конструкции до расположенного по ходу движения дорожного знака, предусмотренного Г.3.1, Sуст | ||||||||||
| 0,75 | 9,5 | 2,3 | 0,2 | 0,2 | 0,2 | 0,2 | 0,2 | 0,2 | 0,2 | 0,2 |
| 1 | 13,7 | 6,9 | 0,2 | 0,2 | 0,2 | 0,2 | 0,2 | 0,2 | 0,2 | 0,2 |
| 1,25 | 17,4 | 11,0 | 2,6 | 0,2 | 0,2 | 0,2 | 0,2 | 0,2 | 0,2 | 0,2 |
| 1,5 | 20,8 | 14,8 | 6,9 | 0,2 | 0,2 | 0,2 | 0,2 | 0,2 | 0,2 | 0,2 |
| 1,75 | 23,8 | 18,2 | 10,7 | 3,0 | 0,2 | 0,2 | 0,2 | 0,2 | 0,2 | 0,2 |
| 2 | 26,6 | 21,2 | 14,2 | 6,9 | 0,2 | 0,2 | 0,2 | 0,2 | 0,2 | 0,2 |
| 2,25 | 29,1 | 24,0 | 17,3 | 10,4 | 3,3 | 0,2 | 0,2 | 0,2 | 0,2 | 0,2 |
| 2,5 | 31,4 | 26,6 | 20,2 | 13,6 | 6,9 | 0,2 | 0,2 | 0,2 | 0,2 | 0,2 |
| 2,75 | 33,5 | 28,9 | 22,9 | 16,6 | 10,1 | 3,6 | 0,2 | 0,2 | 0,2 | 0,2 |
| 3 | 35,5 | 31,0 | 25,3 | 19,3 | 13,1 | 6,9 | 0,5 | 0,2 | 0,2 | 0,2 |
| 3,25 | 37,2 | 33,0 | 27,5 | 21,7 | 15,9 | 9,9 | 3,8 | 0,2 | 0,2 | 0,2 |
| 3,5 | 38,8 | 34,8 | 29,5 | 24,0 | 18,4 | 12,7 | 6,9 | 1,0 | 0,2 | 0,2 |
| 3,75 | 40,3 | 36,5 | 31,4 | 26,1 | 20,7 | 15,2 | 9,7 | 4,0 | 0,2 | 0,2 |
| 4 | 41,7 | 38,0 | 33,1 | 28,1 | 22,9 | 17,6 | 12,3 | 6,9 | 1,4 | 0,2 |
| 4,25 | 43,0 | 39,4 | 34,7 | 29,9 | 24,9 | 19,8 | 14,7 | 9,5 | 4,2 | 0,2 |
| 4,5 | 44,2 | 40,8 | 36,2 | 31,6 | 26,8 | 21,9 | 16,9 | 11,9 | 6,9 | 1,8 |
| 4,75 | 45,3 | 42,0 | 37,6 | 33,1 | 28,5 | 23,8 | 19,0 | 14,2 | 9,3 | 4,4 |
| 5 | 46,4 | 43,2 | 38,9 | 34,6 | 30,1 | 25,6 | 20,9 | 16,3 | 11,6 | 6,9 |
Таблица Г.10 - Определение минимального расстояния от установленной сбоку от проезжей части рекламной конструкции до расположенного по ходу движения дорожного знака, предусмотренного Г.3.1 (Sуст, м), в зависимости от расстояния от края проезжей части до ближайшего края горизонтальной проекции рекламного поля конструкции (lуст, м) при габаритной высоте дорожного знака над уровнем проезжей части hд.з = 5 м и высоте рекламной конструкции от уровня проезжей части до нижнего края информационного поля hр = 3,5 м
(Sбез = 75,4 м; hв = 1,2 м; lв = 1,75;
= 0,4; V0 = 60 км/ч; hд.з = 5 м; hр = 3,5 м)
Таблица Г.10
В метрах
| Расстояние от края проезжей части до дальней от края проезжей части точки горизонтальной проекции дорожного знака, предусмотренного Г.3.1, lд.з, м | Расстояние от края проезжей части до ближайшего края горизонтальной проекции рекламного поля конструкции lуст | |||||||||
| 0,6 | 1 | 1,5 | 2 | 2,5 | 3 | 3,5 | 4 | 4,5 | 5 | |
| Минимальное расстояние от установленной сбоку от проезжей части рекламной конструкции до расположенного по ходу движения дорожного знака, предусмотренного Г.3.1, Sуст | ||||||||||
| 0,75 | 25,8 | 21,4 | 15,4 | 9,1 | 2,6 | 0,2 | 0,2 | 0,2 | 0,2 | 0,2 |
| 1 | 27,3 | 23,0 | 17,2 | 11,1 | 4,8 | 0,2 | 0,2 | 0,2 | 0,2 | 0,2 |
| 1,25 | 28,8 | 24,6 | 19,0 | 13,1 | 7,0 | 0,7 | 0,2 | 0,2 | 0,2 | 0,2 |
| 1,5 | 30,3 | 26,3 | 20,8 | 15,1 | 9,2 | 3,1 | 0,2 | 0,2 | 0,2 | 0,2 |
| 1,75 | 31,8 | 27,8 | 22,6 | 17,0 | 11,3 | 5,4 | 0,2 | 0,2 | 0,2 | 0,2 |
| 2 | 33,2 | 29,4 | 24,3 | 18,9 | 13,4 | 7,6 | 1,8 | 0,2 | 0,2 | 0,2 |
| 2,25 | 34,5 | 30,9 | 25,9 | 20,7 | 15,4 | 9,8 | 4,2 | 0,2 | 0,2 | 0,2 |
| 2,5 | 35,9 | 32,3 | 27,5 | 22,5 | 17,3 | 11,9 | 6,5 | 0,9 | 0,2 | 0,2 |
| 2,75 | 37,1 | 33,7 | 29,1 | 24,2 | 19,2 | 14,0 | 8,7 | 3,3 | 0,2 | 0,2 |
| 3 | 38,3 | 35,0 | 30,5 | 25,8 | 20,9 | 15,9 | 10,8 | 5,6 | 0,4 | 0,2 |
| 3,25 | 39,5 | 36,3 | 31,9 | 27,4 | 22,7 | 17,8 | 12,8 | 7,8 | 2,7 | 0,2 |
| 3,5 | 40,6 | 37,5 | 33,3 | 28,9 | 24,3 | 19,6 | 14,8 | 9,9 | 5,0 | 0,2 |
| 3,75 | 41,7 | 38,6 | 34,6 | 30,3 | 25,9 | 21,3 | 16,6 | 11,9 | 7,1 | 2,3 |
| 4 | 42,7 | 39,7 | 35,8 | 31,6 | 27,3 | 22,9 | 18,4 | 13,8 | 9,2 | 4,5 |
| 4,25 | 43,7 | 40,8 | 37,0 | 32,9 | 28,8 | 24,5 | 20,1 | 15,6 | 11,1 | 6,6 |
| 4,5 | 44,6 | 41,8 | 38,1 | 34,2 | 30,1 | 25,9 | 21,7 | 17,4 | 13,0 | 8,6 |
| 4,75 | 45,5 | 42,8 | 39,2 | 35,4 | 31,4 | 27,4 | 23,2 | 19,0 | 14,8 | 10,5 |
| 5 | 46,3 | 43,7 | 40,2 | 36,5 | 32,6 | 28,7 | 24,7 | 20,6 | 16,5 | 12,3 |
Таблица Г.11 - Определение минимального расстояния от установленной сбоку от проезжей части рекламной конструкции до расположенного по ходу движения дорожного знака, предусмотренного Г.3.1 (Sуст, м), в зависимости от расстояния от края проезжей части до ближайшего края горизонтальной проекции рекламного поля конструкции (lуст, м) при габаритной высоте дорожного знака над уровнем проезжей части hд.з = 4 м и высоте рекламной конструкции от уровня проезжей части до нижнего края информационного поля hр = 3,5 м
(Sбез = 75,4 м; hв = 1,2 м; lв = 1,75;
= 0,4; V0 = 60 км/ч; hд.з = 4 м; hр = 3,5 м)
Таблица Г.11
В метрах
| Расстояние от края проезжей части до дальней от края проезжей части точки горизонтальной проекции дорожного знака, предусмотренного Г.3.1, lд.з, м | Расстояние от края проезжей части до ближайшего края горизонтальной проекции рекламного поля конструкции lуст | |||||||||
| 0,6 | 1 | 1,5 | 2 | 2,5 | 3 | 3,5 | 4 | 4,5 | 5 | |
| Минимальное расстояние от установленной сбоку от проезжей части рекламной конструкции до расположенного по ходу движения дорожного знака, предусмотренного Г.3.1, Sуст | ||||||||||
| 0,75 | 15,4 | 9,9 | 2,7 | 0,2 | 0,2 | 0,2 | 0,2 | 0,2 | 0,2 | 0,2 |
| 1 | 18,0 | 12,8 | 5,9 | 0,2 | 0,2 | 0,2 | 0,2 | 0,2 | 0,2 | 0,2 |
| 1,25 | 20,5 | 15,5 | 8,9 | 1,9 | 0,2 | 0,2 | 0,2 | 0,2 | 0,2 | 0,2 |
| 1,5 | 22,9 | 18,1 | 11,8 | 5,1 | 0,2 | 0,2 | 0,2 | 0,2 | 0,2 | 0,2 |
| 1,75 | 25,1 | 20,6 | 14,5 | 8,1 | 1,5 | 0,2 | 0,2 | 0,2 | 0,2 | 0,2 |
| 2 | 27,2 | 22,9 | 17,1 | 11,0 | 4,6 | 0,2 | 0,2 | 0,2 | 0,2 | 0,2 |
| 2,25 | 29,2 | 25,1 | 19,5 | 13,6 | 7,6 | 1,3 | 0,2 | 0,2 | 0,2 | 0,2 |
| 2,5 | 31,1 | 27,1 | 21,8 | 16,2 | 10,3 | 4,3 | 0,2 | 0,2 | 0,2 | 0,2 |
| 2,75 | 32,9 | 29,0 | 23,9 | 18,5 | 12,9 | 7,1 | 1,3 | 0,2 | 0,2 | 0,2 |
| 3 | 34,5 | 30,8 | 25,9 | 20,7 | 15,3 | 9,8 | 4,1 | 0,2 | 0,2 | 0,2 |
| 3,25 | 36,1 | 32,5 | 27,8 | 22,8 | 17,6 | 12,3 | 6,8 | 1,3 | 0,2 | 0,2 |
| 3,5 | 37,5 | 34,1 | 29,5 | 24,7 | 19,7 | 14,6 | 9,4 | 4,1 | 0,2 | 0,2 |
| 3,75 | 38,9 | 35,6 | 31,2 | 26,5 | 21,7 | 16,8 | 11,7 | 6,6 | 1,4 | 0,2 |
| 4 | 40,2 | 37,0 | 32,7 | 28,3 | 23,6 | 18,8 | 14,0 | 9,0 | 4,0 | 0,2 |
| 4,25 | 41,4 | 38,3 | 34,2 | 29,9 | 25,4 | 20,8 | 16,1 | 11,3 | 6,5 | 1,6 |
| 4,5 | 42,5 | 39,5 | 35,5 | 31,4 | 27,0 | 22,6 | 18,0 | 13,4 | 8,7 | 4,0 |
| 4,75 | 43,6 | 40,7 | 36,8 | 32,8 | 28,6 | 24,3 | 19,9 | 15,4 | 10,9 | 6,3 |
| 5 | 44,6 | 41,8 | 38,1 | 34,1 | 30,1 | 25,9 | 21,6 | 17,3 | 12,9 | 8,5 |
Таблица Г.12 - Определение минимального расстояния от установленной сбоку от проезжей части рекламной конструкции до расположенного по ходу движения дорожного знака, предусмотренного Г.3.1 (Sуст, м), в зависимости от расстояния от края проезжей части до ближайшего края горизонтальной проекции рекламного поля конструкции (lуст, м) при габаритной высоте дорожного знака над уровнем проезжей части hд.з = 3 м и высоте рекламной конструкции от уровня проезжей части до нижнего края информационного поля hр = 3,5 м
(Sбез = 75,4 м; hв = 1,2 м; lв = 1,75;
= 0,4; V0 = 60 км/ч; hд.з = 3 м; hр = 3,5 м)
Таблица Г.12
В метрах
| Расстояние от края проезжей части до дальней от края проезжей части точки горизонтальной проекции дорожного знака, предусмотренного Г.3.1, lд.з, м | Расстояние от края проезжей части до ближайшего края горизонтальной проекции рекламного поля конструкции lуст | |||||||||
| 0,6 | 1 | 1,5 | 2 | 2,5 | 3 | 3,5 | 4 | 4,5 | 5 | |
| Минимальное расстояние от установленной сбоку от проезжей части рекламной конструкции до расположенного по ходу движения дорожного знака, предусмотренного Г.3.1, Sуст | ||||||||||
| 0,75 | 2,2 | 0,2 | 0,2 | 0,2 | 0,2 | 0,2 | 0,2 | 0,2 | 0,2 | 0,2 |
| 1 | 6,8 | 0,6 | 0,2 | 0,2 | 0,2 | 0,2 | 0,2 | 0,2 | 0,2 | 0,2 |
| 1,25 | 11,0 | 5,2 | 0,2 | 0,2 | 0,2 | 0,2 | 0,2 | 0,2 | 0,2 | 0,2 |
| 1,5 | 14,7 | 9,3 | 1,9 | 0,2 | 0,2 | 0,2 | 0,2 | 0,2 | 0,2 | 0,2 |
| 1,75 | 18,1 | 13,0 | 6,1 | 0,2 | 0,2 | 0,2 | 0,2 | 0,2 | 0,2 | 0,2 |
| 2 | 21,2 | 16,3 | 9,8 | 2,9 | 0,2 | 0,2 | 0,2 | 0,2 | 0,2 | 0,2 |
| 2,25 | 24,0 | 19,4 | 13,2 | 6,7 | 0,2 | 0,2 | 0,2 | 0,2 | 0,2 | 0,2 |
| 2,5 | 26,6 | 22,2 | 16,3 | 10,1 | 3,6 | 0,2 | 0,2 | 0,2 | 0,2 | 0,2 |
| 2,75 | 28,9 | 24,7 | 19,1 | 13,2 | 7,1 | 0,8 | 0,2 | 0,2 | 0,2 | 0,2 |
| 3 | 31,0 | 27,0 | 21,7 | 16,0 | 10,2 | 4,2 | 0,2 | 0,2 | 0,2 | 0,2 |
| 3,25 | 33,0 | 29,2 | 24,0 | 18,7 | 13,1 | 7,3 | 1,5 | 0,2 | 0,2 | 0,2 |
| 3,5 | 34,8 | 31,1 | 26,2 | 21,1 | 15,7 | 10,2 | 4,6 | 0,2 | 0,2 | 0,2 |
| 3,75 | 36,5 | 32,9 | 28,2 | 23,3 | 18,2 | 12,9 | 7,5 | 2,0 | 0,2 | 0,2 |
| 4 | 38,0 | 34,6 | 30,1 | 25,4 | 20,4 | 15,4 | 10,2 | 4,9 | 0,2 | 0,2 |
| 4,25 | 39,4 | 36,2 | 31,8 | 27,3 | 22,5 | 17,7 | 12,7 | 7,6 | 2,5 | 0,2 |
| 4,5 | 40,7 | 37,6 | 33,4 | 29,0 | 24,5 | 19,8 | 15,0 | 10,1 | 5,2 | 0,2 |
| 4,75 | 42,0 | 39,0 | 34,9 | 30,7 | 26,3 | 21,8 | 17,1 | 12,5 | 7,7 | 2,9 |
| 5 | 43,1 | 40,2 | 36,3 | 32,2 | 28,0 | 23,6 | 19,2 | 14,6 | 10,1 | 5,4 |
Таблица Г.13 - Определение минимального расстояния от установленной сбоку от проезжей части рекламной конструкции до расположенного по ходу движения дорожного знака, предусмотренного Г.3.1 (Sуст, м), в зависимости от расстояния от края проезжей части до ближайшего края горизонтальной проекции рекламного поля конструкции (lуст, м) при габаритной высоте дорожного знака над уровнем проезжей части hд.з = 5 м и высоте рекламной конструкции от уровня проезжей части до нижнего края информационного поля hр = 4 м
(Sбез = 75,4 м; hв = 1,2 м; lв = 1,75;
= 0,4; V0 = 60 км/ч; hд.з = 5 м; hр = 4 м)
Таблица Г.13
В метрах
| Расстояние от края проезжей части до дальней от края проезжей части точки горизонтальной проекции дорожного знака, предусмотренного Г.3.1, lд.з, м | Расстояние от края проезжей части до ближайшего края горизонтальной проекции рекламного поля конструкции lуст | |||||||||
| 0,6 | 1 | 1,5 | 2 | 2,5 | 3 | 3,5 | 4 | 4,5 | 5 | |
| Минимальное расстояние от установленной сбоку от проезжей части рекламной конструкции до расположенного по ходу движения дорожного знака, предусмотренного Г.3.1, Sуст | ||||||||||
| 0,75 | 20,3 | 16,3 | 10,8 | 4,9 | 0,2 | 0,2 | 0,2 | 0,2 | 0,2 | 0,2 |
| 1 | 22,0 | 18,0 | 12,7 | 7,0 | 1,0 | 0,2 | 0,2 | 0,2 | 0,2 | 0,2 |
| 1,25 | 23,6 | 19,8 | 14,7 | 9,1 | 3,3 | 0,2 | 0,2 | 0,2 | 0,2 | 0,2 |
| 1,5 | 25,3 | 21,6 | 16,6 | 11,2 | 5,6 | 0,2 | 0,2 | 0,2 | 0,2 | 0,2 |
| 1,75 | 26,9 | 23,3 | 18,5 | 13,3 | 7,9 | 2,2 | 0,2 | 0,2 | 0,2 | 0,2 |
| 2 | 28,5 | 25,0 | 20,3 | 15,3 | 10,1 | 4,6 | 0,2 | 0,2 | 0,2 | 0,2 |
| 2,25 | 30,0 | 26,6 | 22,1 | 17,3 | 12,2 | 6,9 | 1,5 | 0,2 | 0,2 | 0,2 |
| 2,5 | 31,4 | 28,2 | 23,8 | 19,1 | 14,2 | 9,1 | 3,9 | 0,2 | 0,2 | 0,2 |
| 2,75 | 32,9 | 29,7 | 25,5 | 20,9 | 16,2 | 11,2 | 6,2 | 1,0 | 0,2 | 0,2 |
| 3 | 34,2 | 31,2 | 27,1 | 22,7 | 18,0 | 13,3 | 8,4 | 3,3 | 0,2 | 0,2 |
| 3,25 | 35,5 | 32,6 | 28,6 | 24,3 | 19,9 | 15,2 | 10,5 | 5,6 | 0,7 | 0,2 |
| 3,5 | 36,7 | 33,9 | 30,0 | 25,9 | 21,6 | 17,1 | 12,5 | 7,8 | 3,0 | 0,2 |
| 3,75 | 37,9 | 35,2 | 31,4 | 27,4 | 23,2 | 18,9 | 14,4 | 9,8 | 5,2 | 0,5 |
| 4 | 39,0 | 36,4 | 32,7 | 28,9 | 24,8 | 20,6 | 16,2 | 11,8 | 7,3 | 2,7 |
| 4,25 | 40,1 | 37,5 | 34,0 | 30,2 | 26,3 | 22,2 | 18,0 | 13,7 | 9,3 | 4,9 |
| 4,5 | 41,1 | 38,6 | 35,2 | 31,5 | 27,7 | 23,7 | 19,6 | 15,5 | 11,2 | 6,9 |
| 4,75 | 42,1 | 39,7 | 36,3 | 32,8 | 29,1 | 25,2 | 21,2 | 17,2 | 13,1 | 8,9 |
| 5 | 43,1 | 40,7 | 37,4 | 34,0 | 30,4 | 26,6 | 22,7 | 18,8 | 14,8 | 10,7 |
Таблица Г.14 - Определение минимального расстояния от установленной сбоку от проезжей части рекламной конструкции до расположенного по ходу движения дорожного знака, предусмотренного Г.3.1 (Sуст, м), в зависимости от расстояния от края проезжей части до ближайшего края горизонтальной проекции рекламного поля конструкции (lуст, м) при габаритной высоте дорожного знака над уровнем проезжей части hд.з = 4 м и высоте рекламной конструкции от уровня проезжей части до нижнего края информационного поля hр = 4 м
(Sбез = 75,4 м; hв = 1,2 м; lв = 1,75;
= 0,4; V0 = 60 км/ч; hд.з = 4 м; hр = 4 м)
Таблица Г.14
В метрах
| Расстояние от края проезжей части до дальней от края проезжей части точки горизонтальной проекции дорожного знака, предусмотренного Г.3.1, lд.з, м | Расстояние от края проезжей части до ближайшего края горизонтальной проекции рекламного поля конструкции lуст | |||||||||
| 0,6 | 1 | 1,5 | 2 | 2,5 | 3 | 3,5 | 4 | 4,5 | 5 | |
| Минимальное расстояние от установленной сбоку от проезжей части рекламной конструкции до расположенного по ходу движения дорожного знака, предусмотренного Г.3.1, Sуст | ||||||||||
| 0,75 | 8,6 | 3,7 | 0,2 | 0,2 | 0,2 | 0,2 | 0,2 | 0,2 | 0,2 | 0,2 |
| 1 | 11,6 | 6,9 | 0,5 | 0,2 | 0,2 | 0,2 | 0,2 | 0,2 | 0,2 | 0,2 |
| 1,25 | 14,3 | 9,8 | 3,7 | 0,2 | 0,2 | 0,2 | 0,2 | 0,2 | 0,2 | 0,2 |
| 1,5 | 17,0 | 12,7 | 6,9 | 0,6 | 0,2 | 0,2 | 0,2 | 0,2 | 0,2 | 0,2 |
| 1,75 | 19,5 | 15,4 | 9,8 | 3,8 | 0,2 | 0,2 | 0,2 | 0,2 | 0,2 | 0,2 |
| 2 | 21,9 | 17,9 | 12,6 | 6,9 | 0,9 | 0,2 | 0,2 | 0,2 | 0,2 | 0,2 |
| 2,25 | 24,1 | 20,3 | 15,2 | 9,7 | 4,0 | 0,2 | 0,2 | 0,2 | 0,2 | 0,2 |
| 2,5 | 26,2 | 22,5 | 17,6 | 12,4 | 6,9 | 1,1 | 0,2 | 0,2 | 0,2 | 0,2 |
| 2,75 | 28,1 | 24,6 | 19,9 | 14,9 | 9,6 | 4,1 | 0,2 | 0,2 | 0,2 | 0,2 |
| 3 | 30,0 | 26,6 | 22,1 | 17,2 | 12,1 | 6,9 | 1,4 | 0,2 | 0,2 | 0,2 |
| 3,25 | 31,7 | 28,5 | 24,1 | 19,4 | 14,5 | 9,4 | 4,2 | 0,2 | 0,2 | 0,2 |
| 3,5 | 33,3 | 30,2 | 26,0 | 21,5 | 16,8 | 11,9 | 6,9 | 1,7 | 0,2 | 0,2 |
| 3,75 | 34,8 | 31,8 | 27,8 | 23,4 | 18,9 | 14,2 | 9,3 | 4,4 | 0,2 | 0,2 |
| 4 | 36,2 | 33,3 | 29,4 | 25,2 | 20,9 | 16,3 | 11,6 | 6,9 | 2,0 | 0,2 |
| 4,25 | 37,6 | 34,8 | 31,0 | 27,0 | 22,7 | 18,3 | 13,8 | 9,2 | 4,5 | 0,2 |
| 4,5 | 38,8 | 36,1 | 32,5 | 28,6 | 24,5 | 20,2 | 15,8 | 11,4 | 6,9 | 2,3 |
| 4,75 | 40,0 | 37,4 | 33,9 | 30,1 | 26,1 | 22,0 | 17,8 | 13,5 | 9,1 | 4,6 |
| 5 | 41,1 | 38,6 | 35,2 | 31,5 | 27,7 | 23,7 | 19,6 | 15,4 | 11,2 | 6,9 |
Таблица Г.15 - Определение минимального расстояния от установленной сбоку от проезжей части рекламной конструкции до расположенного по ходу движения дорожного знака, предусмотренного Г.3.1 (Sуст, м), в зависимости от расстояния от края проезжей части до ближайшего края горизонтальной проекции рекламного поля конструкции (lуст, м) при габаритной высоте дорожного знака над уровнем проезжей части hд.з = 3 м и высоте рекламной конструкции от уровня проезжей части до нижнего края информационного поля hр = 4 м
(Sбез = 75,4 м; hв = 1,2 м; lв = 1,75;
= 0,4; V0 = 60 км/ч; hд.з = 3 м; hр = 4 м)
Таблица Г.15
В метрах
| Расстояние от края проезжей части до дальней от края проезжей части точки горизонтальной проекции дорожного знака, предусмотренного Г.3.1, lд.з, м | Расстояние от края проезжей части до ближайшего края горизонтальной проекции рекламного поля конструкции lуст | |||||||||
| 0,6 | 1 | 1,5 | 2 | 2,5 | 3 | 3,5 | 4 | 4,5 | 5 | |
| Минимальное расстояние от установленной сбоку от проезжей части рекламной конструкции до расположенного по ходу движения дорожного знака, предусмотренного Г.3.1, Sуст | ||||||||||
| 0,75 | 0,2 | 0,2 | 0,2 | 0,2 | 0,2 | 0,2 | 0,2 | 0,2 | 0,2 | 0,2 |
| 1 | 0,2 | 0,2 | 0,2 | 0,2 | 0,2 | 0,2 | 0,2 | 0,2 | 0,2 | 0,2 |
| 1,25 | 3,8 | 0,2 | 0,2 | 0,2 | 0,2 | 0,2 | 0,2 | 0,2 | 0,2 | 0,2 |
| 1,5 | 8,0 | 3,0 | 0,2 | 0,2 | 0,2 | 0,2 | 0,2 | 0,2 | 0,2 | 0,2 |
| 1,75 | 11,7 | 7,0 | 0,7 | 0,2 | 0,2 | 0,2 | 0,2 | 0,2 | 0,2 | 0,2 |
| 2 | 15,2 | 10,7 | 4,7 | 0,2 | 0,2 | 0,2 | 0,2 | 0,2 | 0,2 | 0,2 |
| 2,25 | 18,3 | 14,1 | 8,4 | 2,3 | 0,2 | 0,2 | 0,2 | 0,2 | 0,2 | 0,2 |
| 2,5 | 21,1 | 17,1 | 11,7 | 5,9 | 0,2 | 0,2 | 0,2 | 0,2 | 0,2 | 0,2 |
| 2,75 | 23,7 | 19,9 | 14,7 | 9,2 | 3,4 | 0,2 | 0,2 | 0,2 | 0,2 | 0,2 |
| 3 | 26,1 | 22,4 | 17,5 | 12,2 | 6,7 | 1,0 | 0,2 | 0,2 | 0,2 | 0,2 |
| 3,25 | 28,2 | 24,8 | 20,1 | 15,0 | 9,8 | 4,3 | 0,2 | 0,2 | 0,2 | 0,2 |
| 3,5 | 30,3 | 26,9 | 22,4 | 17,6 | 12,5 | 7,3 | 1,9 | 0,2 | 0,2 | 0,2 |
| 3,75 | 32,1 | 28,9 | 24,6 | 20,0 | 15,1 | 10,1 | 4,9 | 0,2 | 0,2 | 0,2 |
| 4 | 33,8 | 30,8 | 26,6 | 22,2 | 17,5 | 12,7 | 7,7 | 2,6 | 0,2 | 0,2 |
| 4,25 | 35,4 | 32,5 | 28,5 | 24,2 | 19,7 | 15,1 | 10,3 | 5,4 | 0,5 | 0,2 |
| 4,5 | 36,9 | 34,0 | 30,2 | 26,1 | 21,8 | 17,3 | 12,7 | 8,0 | 3,2 | 0,2 |
| 4,75 | 38,2 | 35,5 | 31,8 | 27,8 | 23,7 | 19,4 | 14,9 | 10,4 | 5,8 | 1,1 |
| 5 | 39,5 | 36,9 | 33,3 | 29,5 | 25,5 | 21,3 | 17,0 | 12,6 | 8,2 | 3,7 |
Таблица Г.16 - Определение минимального расстояния от установленной сбоку от проезжей части рекламной конструкции до расположенного по ходу движения дорожного знака, предусмотренного Г.3.1 (Sуст, м), в зависимости от расстояния от края проезжей части до ближайшего края горизонтальной проекции рекламного поля конструкции (lуст, м) при габаритной высоте дорожного знака над уровнем проезжей части hд.з = 5 м и высоте рекламной конструкции от уровня проезжей части до нижнего края информационного поля hр = 4,5 м
(Sбез = 75,4 м; hв = 1,2 м; lв = 1,75;
= 0,4; V0 = 60 км/ч; hд.з = 5 м; hр = 4,5 м)
Таблица Г.16
В метрах
| Расстояние от края проезжей части до дальней от края проезжей части точки горизонтальной проекции дорожного знака, предусмотренного Г.3.1, lд.з, м | Расстояние от края проезжей части до ближайшего края горизонтальной проекции рекламного поля конструкции lуст | |||||||||
| 0,6 | 1 | 1,5 | 2 | 2,5 | 3 | 3,5 | 4 | 4,5 | 5 | |
| Минимальное расстояние от установленной сбоку от проезжей части рекламной конструкции до расположенного по ходу движения дорожного знака, предусмотренного Г.3.1, Sуст | ||||||||||
| 0,75 | 14,3 | 10,7 | 5,6 | 0,2 | 0,2 | 0,2 | 0,2 | 0,2 | 0,2 | 0,2 |
| 1 | 16,2 | 12,6 | 7,7 | 2,4 | 0,2 | 0,2 | 0,2 | 0,2 | 0,2 | 0,2 |
| 1,25 | 18,0 | 14,6 | 9,8 | 4,7 | 0,2 | 0,2 | 0,2 | 0,2 | 0,2 | 0,2 |
| 1,5 | 19,9 | 16,5 | 11,9 | 6,9 | 1,6 | 0,2 | 0,2 | 0,2 | 0,2 | 0,2 |
| 1,75 | 21,6 | 18,4 | 13,9 | 9,1 | 4,0 | 0,2 | 0,2 | 0,2 | 0,2 | 0,2 |
| 2 | 23,4 | 20,2 | 15,9 | 11,3 | 6,3 | 1,1 | 0,2 | 0,2 | 0,2 | 0,2 |
| 2,25 | 25,1 | 22,0 | 17,9 | 13,3 | 8,6 | 3,5 | 0,2 | 0,2 | 0,2 | 0,2 |
| 2,5 | 26,7 | 23,8 | 19,7 | 15,3 | 10,7 | 5,9 | 0,8 | 0,2 | 0,2 | 0,2 |
| 2,75 | 28,3 | 25,4 | 21,5 | 17,3 | 12,8 | 8,1 | 3,2 | 0,2 | 0,2 | 0,2 |
| 3 | 29,7 | 27,0 | 23,2 | 19,1 | 14,8 | 10,2 | 5,5 | 0,7 | 0,2 | 0,2 |
| 3,25 | 31,2 | 28,5 | 24,8 | 20,9 | 16,7 | 12,3 | 7,7 | 3,0 | 0,2 | 0,2 |
| 3,5 | 32,6 | 30,0 | 26,4 | 22,6 | 18,5 | 14,2 | 9,8 | 5,3 | 0,6 | 0,2 |
| 3,75 | 33,9 | 31,4 | 27,9 | 24,2 | 20,2 | 16,1 | 11,8 | 7,4 | 2,9 | 0,2 |
| 4 | 35,1 | 32,7 | 29,3 | 25,7 | 21,9 | 17,9 | 13,7 | 9,5 | 5,1 | 0,7 |
| 4,25 | 36,3 | 33,9 | 30,7 | 27,2 | 23,5 | 19,6 | 15,6 | 11,4 | 7,2 | 2,9 |
| 4,5 | 37,4 | 35,1 | 32,0 | 28,6 | 25,0 | 21,2 | 17,3 | 13,3 | 9,2 | 5,0 |
| 4,75 | 38,5 | 36,3 | 33,2 | 29,9 | 26,4 | 22,7 | 18,9 | 15,0 | 11,1 | 7,0 |
| 5 | 39,6 | 37,4 | 34,4 | 31,2 | 27,8 | 24,2 | 20,5 | 16,7 | 12,9 | 8,9 |
Таблица Г.17 - Определение минимального расстояния от установленной сбоку от проезжей части рекламной конструкции до расположенного по ходу движения дорожного знака, предусмотренного Г.3.1 (Sуст, м), в зависимости от расстояния от края проезжей части до ближайшего края горизонтальной проекции рекламного поля конструкции (lуст, м) при габаритной высоте дорожного знака над уровнем проезжей части hд.з = 4 м и высоте рекламной конструкции от уровня проезжей части до нижнего края информационного поля hр = 4,5 м
(Sбез = 75,4 м; hв = 1,2 м; lв = 1,75;
= 0,4; V0 = 60 км/ч; hд.з = 4 м; hр = 4,5 м)
Таблица Г.17
В метрах
| Расстояние от края проезжей части до дальней от края проезжей части точки горизонтальной проекции дорожного знака, предусмотренного Г.3.1, lд.з, м | Расстояние от края проезжей части до ближайшего края горизонтальной проекции рекламного поля конструкции lуст | |||||||||
| 0,6 | 1 | 1,5 | 2 | 2,5 | 3 | 3,5 | 4 | 4,5 | 5 | |
| Минимальное расстояние от установленной сбоку от проезжей части рекламной конструкции до расположенного по ходу движения дорожного знака, предусмотренного Г.3.1, Sуст | ||||||||||
| 0,75 | 1,4 | 0,2 | 0,2 | 0,2 | 0,2 | 0,2 | 0,2 | 0,2 | 0,2 | 0,2 |
| 1 | 4,6 | 0,4 | 0,2 | 0,2 | 0,2 | 0,2 | 0,2 | 0,2 | 0,2 | 0,2 |
| 1,25 | 7,7 | 3,6 | 0,2 | 0,2 | 0,2 | 0,2 | 0,2 | 0,2 | 0,2 | 0,2 |
| 1,5 | 10,7 | 6,8 | 1,4 | 0,2 | 0,2 | 0,2 | 0,2 | 0,2 | 0,2 | 0,2 |
| 1,75 | 13,4 | 9,7 | 4,6 | 0,2 | 0,2 | 0,2 | 0,2 | 0,2 | 0,2 | 0,2 |
| 2 | 16,1 | 12,5 | 7,6 | 2,2 | 0,2 | 0,2 | 0,2 | 0,2 | 0,2 | 0,2 |
| 2,25 | 18,5 | 15,1 | 10,4 | 5,3 | 0,2 | 0,2 | 0,2 | 0,2 | 0,2 | 0,2 |
| 2,5 | 20,8 | 17,5 | 13,0 | 8,1 | 2,9 | 0,2 | 0,2 | 0,2 | 0,2 | 0,2 |
| 2,75 | 23,0 | 19,8 | 15,5 | 10,8 | 5,8 | 0,6 | 0,2 | 0,2 | 0,2 | 0,2 |
| 3 | 25,0 | 22,0 | 17,8 | 13,3 | 8,5 | 3,5 | 0,2 | 0,2 | 0,2 | 0,2 |
| 3,25 | 26,9 | 24,0 | 20,0 | 15,7 | 11,0 | 6,2 | 1,2 | 0,2 | 0,2 | 0,2 |
| 3,5 | 28,7 | 25,9 | 22,0 | 17,9 | 13,4 | 8,8 | 4,0 | 0,2 | 0,2 | 0,2 |
| 3,75 | 30,4 | 27,7 | 24,0 | 19,9 | 15,6 | 11,2 | 6,5 | 1,8 | 0,2 | 0,2 |
| 4 | 32,0 | 29,4 | 25,8 | 21,9 | 17,7 | 13,4 | 8,9 | 4,3 | 0,2 | 0,2 |
| 4,25 | 33,5 | 30,9 | 27,5 | 23,7 | 19,7 | 15,5 | 11,2 | 6,8 | 2,2 | 0,2 |
| 4,5 | 34,9 | 32,4 | 29,0 | 25,4 | 21,5 | 17,5 | 13,3 | 9,0 | 4,7 | 0,2 |
| 4,75 | 36,2 | 33,8 | 30,5 | 27,0 | 23,3 | 19,4 | 15,3 | 11,2 | 6,9 | 2,6 |
| 5 | 37,4 | 35,1 | 32,0 | 28,5 | 24,9 | 21,1 | 17,2 | 13,2 | 9,1 | 4,9 |
Таблица Г.18 - Определение минимального расстояния от установленной сбоку от проезжей части рекламной конструкции до расположенного по ходу движения дорожного знака, предусмотренного Г.3.1 (Sуст, м), в зависимости от расстояния от края проезжей части до ближайшего края горизонтальной проекции рекламного поля конструкции (lуст, м) при габаритной высоте дорожного знака над уровнем проезжей части hд.з = 3 м и высоте рекламной конструкции от уровня проезжей части до нижнего края информационного поля hр = 4,5 м
(Sбез = 75,4 м; hв = 1,2 м; lв = 1,75;
= 0,4; V0 = 60 км/ч; hд.з = 3 м; hр = 4,5 м)
Таблица Г.18
В метрах
| Расстояние от края проезжей части до дальней от края проезжей части точки горизонтальной проекции дорожного знака, предусмотренного Г.3.1, lд.з, м | Расстояние от края проезжей части до ближайшего края горизонтальной проекции рекламного поля конструкции lуст | |||||||||
| 0,6 | 1 | 1,5 | 2 | 2,5 | 3 | 3,5 | 4 | 4,5 | 5 | |
| Минимальное расстояние от установленной сбоку от проезжей части рекламной конструкции до расположенного по ходу движения дорожного знака, предусмотренного Г.3.1, Sуст | ||||||||||
| 0,75 | 0,2 | 0,2 | 0,2 | 0,2 | 0,2 | 0,2 | 0,2 | 0,2 | 0,2 | 0,2 |
| 1 | 0,2 | 0,2 | 0,2 | 0,2 | 0,2 | 0,2 | 0,2 | 0,2 | 0,2 | 0,2 |
| 1,25 | 0,2 | 0,2 | 0,2 | 0,2 | 0,2 | 0,2 | 0,2 | 0,2 | 0,2 | 0,2 |
| 1,5 | 0,7 | 0,2 | 0,2 | 0,2 | 0,2 | 0,2 | 0,2 | 0,2 | 0,2 | 0,2 |
| 1,75 | 4,8 | 0,6 | 0,2 | 0,2 | 0,2 | 0,2 | 0,2 | 0,2 | 0,2 | 0,2 |
| 2 | 8,6 | 4,6 | 0,2 | 0,2 | 0,2 | 0,2 | 0,2 | 0,2 | 0,2 | 0,2 |
| 2,25 | 12,1 | 8,3 | 3,0 | 0,2 | 0,2 | 0,2 | 0,2 | 0,2 | 0,2 | 0,2 |
| 2,5 | 15,2 | 11,6 | 6,6 | 1,2 | 0,2 | 0,2 | 0,2 | 0,2 | 0,2 | 0,2 |
| 2,75 | 18,1 | 14,6 | 9,9 | 4,8 | 0,2 | 0,2 | 0,2 | 0,2 | 0,2 | 0,2 |
| 3 | 20,7 | 17,4 | 12,9 | 8,0 | 2,8 | 0,2 | 0,2 | 0,2 | 0,2 | 0,2 |
| 3,25 | 23,1 | 20,0 | 15,7 | 11,0 | 6,0 | 0,8 | 0,2 | 0,2 | 0,2 | 0,2 |
| 3,5 | 25,4 | 22,3 | 18,2 | 13,7 | 8,9 | 4,0 | 0,2 | 0,2 | 0,2 | 0,2 |
| 3,75 | 27,4 | 24,5 | 20,5 | 16,2 | 11,7 | 6,9 | 2,0 | 0,2 | 0,2 | 0,2 |
| 4 | 29,3 | 26,5 | 22,7 | 18,6 | 14,2 | 9,6 | 4,9 | 0,2 | 0,2 | 0,2 |
| 4,25 | 31,1 | 28,4 | 24,7 | 20,7 | 16,5 | 12,1 | 7,5 | 2,9 | 0,2 | 0,2 |
| 4,5 | 32,7 | 30,1 | 26,6 | 22,8 | 18,7 | 14,4 | 10,0 | 5,5 | 0,9 | 0,2 |
| 4,75 | 34,2 | 31,7 | 28,3 | 24,6 | 20,7 | 16,6 | 12,4 | 8,0 | 3,6 | 0,2 |
| 5 | 35,6 | 33,3 | 30,0 | 26,4 | 22,6 | 18,6 | 14,6 | 10,3 | 6,1 | 1,7 |
Таблица Г.19 - Определение минимального расстояния от установленной сбоку от проезжей части рекламной конструкции до расположенного по ходу движения дорожного знака, предусмотренного Г.3.1 (Sуст, м), в зависимости от расстояния от края проезжей части до ближайшего края горизонтальной проекции рекламного поля конструкции (lуст, м) при габаритной высоте дорожного знака над уровнем проезжей части hд.з = 5 м и высоте рекламной конструкции от уровня проезжей части до нижнего края информационного поля hр = 5 м
(Sбез = 75,4 м; hв = 1,2 м; lв = 1,75;
= 0,4; V0 = 60 км/ч; hд.з = 5 м; hр = 5 м)
Таблица Г.19
В метрах
| Расстояние от края проезжей части до дальней от края проезжей части точки горизонтальной проекции дорожного знака, предусмотренного Г.3.1, lд.з, м | Расстояние от края проезжей части до ближайшего края горизонтальной проекции рекламного поля конструкции lуст | |||||||||
| 0,6 | 1 | 1,5 | 2 | 2,5 | 3 | 3,5 | 4 | 4,5 | 5 | |
| Минимальное расстояние от установленной сбоку от проезжей части рекламной конструкции до расположенного по ходу движения дорожного знака, предусмотренного Г.3.1, Sуст | ||||||||||
| 0,75 | 8,1 | 4,7 | 0,2 | 0,2 | 0,2 | 0,2 | 0,2 | 0,2 | 0,2 | 0,2 |
| 1 | 10,1 | 6,9 | 2,3 | 0,2 | 0,2 | 0,2 | 0,2 | 0,2 | 0,2 | 0,2 |
| 1,25 | 12,1 | 9,0 | 4,6 | 0,2 | 0,2 | 0,2 | 0,2 | 0,2 | 0,2 | 0,2 |
| 1,5 | 14,2 | 11,1 | 6,9 | 2,2 | 0,2 | 0,2 | 0,2 | 0,2 | 0,2 | 0,2 |
| 1,75 | 16,1 | 13,2 | 9,1 | 4,6 | 0,2 | 0,2 | 0,2 | 0,2 | 0,2 | 0,2 |
| 2 | 18,0 | 15,2 | 11,2 | 6,9 | 2,2 | 0,2 | 0,2 | 0,2 | 0,2 | 0,2 |
| 2,25 | 19,9 | 17,1 | 13,3 | 9,1 | 4,6 | 0,2 | 0,2 | 0,2 | 0,2 | 0,2 |
| 2,5 | 21,7 | 19,0 | 15,3 | 11,2 | 6,9 | 2,3 | 0,2 | 0,2 | 0,2 | 0,2 |
| 2,75 | 23,4 | 20,8 | 17,2 | 13,3 | 9,1 | 4,6 | 0,2 | 0,2 | 0,2 | 0,2 |
| 3 | 25,1 | 22,5 | 19,1 | 15,2 | 11,2 | 6,9 | 2,4 | 0,2 | 0,2 | 0,2 |
| 3,25 | 26,6 | 24,2 | 20,8 | 17,1 | 13,2 | 9,0 | 4,7 | 0,2 | 0,2 | 0,2 |
| 3,5 | 28,1 | 25,8 | 22,5 | 18,9 | 15,1 | 11,1 | 6,9 | 2,5 | 0,2 | 0,2 |
| 3,75 | 29,6 | 27,3 | 24,1 | 20,7 | 16,9 | 13,0 | 8,9 | 4,7 | 0,4 | 0,2 |
| 4 | 31,0 | 28,7 | 25,7 | 22,3 | 18,7 | 14,9 | 10,9 | 6,9 | 2,7 | 0,2 |
| 4,25 | 32,3 | 30,1 | 27,1 | 23,9 | 20,4 | 16,7 | 12,8 | 8,9 | 4,8 | 0,6 |
| 4,5 | 33,5 | 31,4 | 28,5 | 25,4 | 22,0 | 18,4 | 14,7 | 10,8 | 6,9 | 2,8 |
| 4,75 | 34,7 | 32,7 | 29,9 | 26,8 | 23,5 | 20,0 | 16,4 | 12,7 | 8,8 | 4,9 |
| 5 | 35,9 | 33,9 | 31,2 | 28,2 | 25,0 | 21,6 | 18,1 | 14,4 | 10,7 | 6,9 |
Таблица Г.20 - Определение минимального расстояния от установленной сбоку от проезжей части рекламной конструкции до расположенного по ходу движения дорожного знака, предусмотренного Г.3.1 (Sуст, м), в зависимости от расстояния от края проезжей части до ближайшего края горизонтальной проекции рекламного поля конструкции (lуст, м) при габаритной высоте дорожного знака над уровнем проезжей части hд.з = 4 м и высоте рекламной конструкции от уровня проезжей части до нижнего края информационного поля hр = 5 м
(Sбез = 75,4 м; hв = 1,2 м; lв = 1,75;
= 0,4; V0 = 60 км/ч; hд.з = 4 м; hр = 5 м)
Таблица Г.20
В метрах
| Расстояние от края проезжей части до дальней от края проезжей части точки горизонтальной проекции дорожного знака, предусмотренного Г.3.1, lд.з, м | Расстояние от края проезжей части до ближайшего края горизонтальной проекции рекламного поля конструкции lуст | |||||||||
| 0,6 | 1 | 1,5 | 2 | 2,5 | 3 | 3,5 | 4 | 4,5 | 5 | |
| Минимальное расстояние от установленной сбоку от проезжей части рекламной конструкции до расположенного по ходу движения дорожного знака, предусмотренного Г.3.1, Sуст | ||||||||||
| 0,75 | 0,2 | 0,2 | 0,2 | 0,2 | 0,2 | 0,2 | 0,2 | 0,2 | 0,2 | 0,2 |
| 1 | 0,2 | 0,2 | 0,2 | 0,2 | 0,2 | 0,2 | 0,2 | 0,2 | 0,2 | 0,2 |
| 1,25 | 0,8 | 0,2 | 0,2 | 0,2 | 0,2 | 0,2 | 0,2 | 0,2 | 0,2 | 0,2 |
| 1,5 | 4,0 | 0,4 | 0,2 | 0,2 | 0,2 | 0,2 | 0,2 | 0,2 | 0,2 | 0,2 |
| 1,75 | 7,1 | 3,7 | 0,2 | 0,2 | 0,2 | 0,2 | 0,2 | 0,2 | 0,2 | 0,2 |
| 2 | 10,0 | 6,7 | 2,2 | 0,2 | 0,2 | 0,2 | 0,2 | 0,2 | 0,2 | 0,2 |
| 2,25 | 12,7 | 9,5 | 5,2 | 0,5 | 0,2 | 0,2 | 0,2 | 0,2 | 0,2 | 0,2 |
| 2,5 | 15,2 | 12,2 | 8,1 | 3,5 | 0,2 | 0,2 | 0,2 | 0,2 | 0,2 | 0,2 |
| 2,75 | 17,6 | 14,7 | 10,7 | 6,4 | 1,7 | 0,2 | 0,2 | 0,2 | 0,2 | 0,2 |
| 3 | 19,9 | 17,1 | 13,2 | 9,0 | 4,5 | 0,2 | 0,2 | 0,2 | 0,2 | 0,2 |
| 3,25 | 22,0 | 19,3 | 15,6 | 11,5 | 7,2 | 2,6 | 0,2 | 0,2 | 0,2 | 0,2 |
| 3,5 | 23,9 | 21,4 | 17,8 | 13,9 | 9,7 | 5,3 | 0,7 | 0,2 | 0,2 | 0,2 |
| 3,75 | 25,8 | 23,3 | 19,9 | 16,1 | 12,1 | 7,8 | 3,4 | 0,2 | 0,2 | 0,2 |
| 4 | 27,5 | 25,1 | 21,8 | 18,2 | 14,3 | 10,2 | 5,9 | 1,5 | 0,2 | 0,2 |
| 4,25 | 29,1 | 26,8 | 23,6 | 20,1 | 16,4 | 12,4 | 8,3 | 4,0 | 0,2 | 0,2 |
| 4,5 | 30,7 | 28,5 | 25,4 | 22,0 | 18,3 | 14,5 | 10,5 | 6,4 | 2,2 | 0,2 |
| 4,75 | 32,1 | 30,0 | 27,0 | 23,7 | 20,2 | 16,5 | 12,6 | 8,6 | 4,6 | 0,4 |
| 5 | 33,5 | 31,4 | 28,5 | 25,3 | 21,9 | 18,3 | 14,6 | 10,8 | 6,8 | 2,7 |
Таблица Г.21 - Определение минимального расстояния от установленной сбоку от проезжей части рекламной конструкции до расположенного по ходу движения дорожного знака, предусмотренного Г.3.1 (Sуст, м), в зависимости от расстояния от края проезжей части до ближайшего края горизонтальной проекции рекламного поля конструкции (lуст, м) при габаритной высоте дорожного знака над уровнем проезжей части hд.з = 3 м и высоте рекламной конструкции от уровня проезжей части до нижнего края информационного поля hр = 5 м
(Sбез = 75,4 м; hв = 1,2 м; lв = 1,75;
= 0,4; V0 = 60 км/ч; hд.з = 3 м; hр = 5 м)
Таблица Г.21
В метрах
| Расстояние от края проезжей части до дальней от края проезжей части точки горизонтальной проекции дорожного знака, предусмотренного Г.3.1, lд.з, м | Расстояние от края проезжей части до ближайшего края горизонтальной проекции рекламного поля конструкции lуст | |||||||||
| 0,6 | 1 | 1,5 | 2 | 2,5 | 3 | 3,5 | 4 | 4,5 | 5 | |
| Минимальное расстояние от установленной сбоку от проезжей части рекламной конструкции до расположенного по ходу движения дорожного знака, предусмотренного Г.3.1, Sуст | ||||||||||
| 0,75 | 0,2 | 0,2 | 0,2 | 0,2 | 0,2 | 0,2 | 0,2 | 0,2 | 0,2 | 0,2 |
| 1 | 0,2 | 0,2 | 0,2 | 0,2 | 0,2 | 0,2 | 0,2 | 0,2 | 0,2 | 0,2 |
| 1,25 | 0,2 | 0,2 | 0,2 | 0,2 | 0,2 | 0,2 | 0,2 | 0,2 | 0,2 | 0,2 |
| 1,5 | 0,2 | 0,2 | 0,2 | 0,2 | 0,2 | 0,2 | 0,2 | 0,2 | 0,2 | 0,2 |
| 1,75 | 0,2 | 0,2 | 0,2 | 0,2 | 0,2 | 0,2 | 0,2 | 0,2 | 0,2 | 0,2 |
| 2 | 1,8 | 0,2 | 0,2 | 0,2 | 0,2 | 0,2 | 0,2 | 0,2 | 0,2 | 0,2 |
| 2,25 | 5,6 | 2,1 | 0,2 | 0,2 | 0,2 | 0,2 | 0,2 | 0,2 | 0,2 | 0,2 |
| 2,5 | 9,0 | 5,7 | 1,1 | 0,2 | 0,2 | 0,2 | 0,2 | 0,2 | 0,2 | 0,2 |
| 2,75 | 12,2 | 9,1 | 4,7 | 0,2 | 0,2 | 0,2 | 0,2 | 0,2 | 0,2 | 0,2 |
| 3 | 15,1 | 12,1 | 7,9 | 3,4 | 0,2 | 0,2 | 0,2 | 0,2 | 0,2 | 0,2 |
| 3,25 | 17,8 | 14,9 | 10,9 | 6,5 | 1,9 | 0,2 | 0,2 | 0,2 | 0,2 | 0,2 |
| 3,5 | 20,2 | 17,5 | 13,6 | 9,5 | 5,0 | 0,3 | 0,2 | 0,2 | 0,2 | 0,2 |
| 3,75 | 22,5 | 19,8 | 16,2 | 12,2 | 7,9 | 3,3 | 0,2 | 0,2 | 0,2 | 0,2 |
| 4 | 24,6 | 22,0 | 18,5 | 14,7 | 10,5 | 6,2 | 1,7 | 0,2 | 0,2 | 0,2 |
| 4,25 | 26,5 | 24,1 | 20,7 | 17,0 | 13,0 | 8,8 | 4,5 | 0,2 | 0,2 | 0,2 |
| 4,5 | 28,3 | 26,0 | 22,7 | 19,1 | 15,3 | 11,3 | 7,1 | 2,8 | 0,2 | 0,2 |
| 4,75 | 30,0 | 27,7 | 24,6 | 21,1 | 17,5 | 13,6 | 9,5 | 5,4 | 1,1 | 0,2 |
| 5 | 31,6 | 29,4 | 26,3 | 23,0 | 19,5 | 15,7 | 11,8 | 7,8 | 3,6 | 0,2 |
Таблица Г.22 - Определение минимального расстояния от установленной сбоку от проезжей части рекламной конструкции до расположенного по ходу движения дорожного знака, предусмотренного Г.3.1 (Sуст, м), в зависимости от расстояния от края проезжей части до ближайшего края горизонтальной проекции рекламного поля конструкции (lуст, м) при габаритной высоте дорожного знака над уровнем проезжей части hд.з = 5 м и высоте рекламной конструкции от уровня проезжей части до нижнего края информационного поля hр = 5,5 м
(Sбез = 75,4 м; hв = 1,2 м; lв = 1,75;
= 0,4; V0 = 60 км/ч; hд.з = 5 м; hр = 5,5 м)
Таблица Г.22
В метрах
| Расстояние от края проезжей части до дальней от края проезжей части точки горизонтальной проекции дорожного знака, предусмотренного Г.3.1, lд.з, м | Расстояние от края проезжей части до ближайшего края горизонтальной проекции рекламного поля конструкции lуст | |||||||||
| 0,6 | 1 | 1,5 | 2 | 2,5 | 3 | 3,5 | 4 | 4,5 | 5 | |
| Минимальное расстояние от установленной сбоку от проезжей части рекламной конструкции до расположенного по ходу движения дорожного знака, предусмотренного Г.3.1, Sуст | ||||||||||
| 0,75 | 1,6 | 0,2 | 0,2 | 0,2 | 0,2 | 0,2 | 0,2 | 0,2 | 0,2 | 0,2 |
| 1 | 3,8 | 0,8 | 0,2 | 0,2 | 0,2 | 0,2 | 0,2 | 0,2 | 0,2 | 0,2 |
| 1,25 | 6,0 | 3,1 | 0,2 | 0,2 | 0,2 | 0,2 | 0,2 | 0,2 | 0,2 | 0,2 |
| 1,5 | 8,2 | 5,4 | 1,5 | 0,2 | 0,2 | 0,2 | 0,2 | 0,2 | 0,2 | 0,2 |
| 1,75 | 10,4 | 7,7 | 3,9 | 0,2 | 0,2 | 0,2 | 0,2 | 0,2 | 0,2 | 0,2 |
| 2 | 12,5 | 9,9 | 6,2 | 2,1 | 0,2 | 0,2 | 0,2 | 0,2 | 0,2 | 0,2 |
| 2,25 | 14,5 | 12,0 | 8,4 | 4,5 | 0,3 | 0,2 | 0,2 | 0,2 | 0,2 | 0,2 |
| 2,5 | 16,5 | 14,0 | 10,6 | 6,8 | 2,7 | 0,2 | 0,2 | 0,2 | 0,2 | 0,2 |
| 2,75 | 18,4 | 16,0 | 12,7 | 9,0 | 5,0 | 0,8 | 0,2 | 0,2 | 0,2 | 0,2 |
| 3 | 20,2 | 17,9 | 14,7 | 11,1 | 7,3 | 3,2 | 0,2 | 0,2 | 0,2 | 0,2 |
| 3,25 | 21,9 | 19,7 | 16,6 | 13,1 | 9,4 | 5,5 | 1,3 | 0,2 | 0,2 | 0,2 |
| 3,5 | 23,6 | 21,4 | 18,4 | 15,1 | 11,5 | 7,6 | 3,6 | 0,2 | 0,2 | 0,2 |
| 3,75 | 25,2 | 23,1 | 20,1 | 16,9 | 13,4 | 9,7 | 5,8 | 1,8 | 0,2 | 0,2 |
| 4 | 26,7 | 24,6 | 21,8 | 18,7 | 15,3 | 11,7 | 7,9 | 4,0 | 0,2 | 0,2 |
| 4,25 | 28,1 | 26,1 | 23,4 | 20,3 | 17,0 | 13,6 | 9,9 | 6,1 | 2,2 | 0,2 |
| 4,5 | 29,5 | 27,6 | 24,9 | 21,9 | 18,7 | 15,4 | 11,8 | 8,1 | 4,3 | 0,4 |
| 4,75 | 30,8 | 28,9 | 26,3 | 23,5 | 20,4 | 17,1 | 13,6 | 10,0 | 6,3 | 2,5 |
| 5 | 32,0 | 30,2 | 27,7 | 24,9 | 21,9 | 18,7 | 15,3 | 11,9 | 8,3 | 4,6 |
Таблица Г.23 - Определение минимального расстояния от установленной сбоку от проезжей части рекламной конструкции до расположенного по ходу движения дорожного знака, предусмотренного Г.3.1 (Sуст, м), в зависимости от расстояния от края проезжей части до ближайшего края горизонтальной проекции рекламного поля конструкции (lуст, м) при габаритной высоте дорожного знака над уровнем проезжей части hд.з = 4 м и высоте рекламной конструкции от уровня проезжей части до нижнего края информационного поля hр = 5,5 м
(Sбез = 75,4 м; hв = 1,2 м; lв = 1,75;
= 0,4; V0 = 60 км/ч; hд.з = 4 м; hр = 5,5 м)
Таблица Г.23
В метрах
| Расстояние от края проезжей части до дальней от края проезжей части точки горизонтальной проекции дорожного знака, предусмотренного Г.3.1, lд.з, м | Расстояние от края проезжей части до ближайшего края горизонтальной проекции рекламного поля конструкции lуст | |||||||||
| 0,6 | 1 | 1,5 | 2 | 2,5 | 3 | 3,5 | 4 | 4,5 | 5 | |
| Минимальное расстояние от установленной сбоку от проезжей части рекламной конструкции до расположенного по ходу движения дорожного знака, предусмотренного Г.3.1, Sуст | ||||||||||
| 0,75 | 0,2 | 0,2 | 0,2 | 0,2 | 0,2 | 0,2 | 0,2 | 0,2 | 0,2 | 0,2 |
| 1 | 0,2 | 0,2 | 0,2 | 0,2 | 0,2 | 0,2 | 0,2 | 0,2 | 0,2 | 0,2 |
| 1,25 | 0,2 | 0,2 | 0,2 | 0,2 | 0,2 | 0,2 | 0,2 | 0,2 | 0,2 | 0,2 |
| 1,5 | 0,2 | 0,2 | 0,2 | 0,2 | 0,2 | 0,2 | 0,2 | 0,2 | 0,2 | 0,2 |
| 1,75 | 0,5 | 0,2 | 0,2 | 0,2 | 0,2 | 0,2 | 0,2 | 0,2 | 0,2 | 0,2 |
| 2 | 3,6 | 0,6 | 0,2 | 0,2 | 0,2 | 0,2 | 0,2 | 0,2 | 0,2 | 0,2 |
| 2,25 | 6,6 | 3,7 | 0,2 | 0,2 | 0,2 | 0,2 | 0,2 | 0,2 | 0,2 | 0,2 |
| 2,5 | 9,4 | 6,7 | 2,8 | 0,2 | 0,2 | 0,2 | 0,2 | 0,2 | 0,2 | 0,2 |
| 2,75 | 12,0 | 9,4 | 5,7 | 1,6 | 0,2 | 0,2 | 0,2 | 0,2 | 0,2 | 0,2 |
| 3 | 14,5 | 11,9 | 8,4 | 4,5 | 0,2 | 0,2 | 0,2 | 0,2 | 0,2 | 0,2 |
| 3,25 | 16,8 | 14,3 | 10,9 | 7,2 | 3,1 | 0,2 | 0,2 | 0,2 | 0,2 | 0,2 |
| 3,5 | 18,9 | 16,6 | 13,3 | 9,7 | 5,8 | 1,6 | 0,2 | 0,2 | 0,2 | 0,2 |
| 3,75 | 21,0 | 18,7 | 15,5 | 12,0 | 8,3 | 4,2 | 0,2 | 0,2 | 0,2 | 0,2 |
| 4 | 22,9 | 20,7 | 17,6 | 14,3 | 10,6 | 6,7 | 2,7 | 0,2 | 0,2 | 0,2 |
| 4,25 | 24,7 | 22,6 | 19,6 | 16,3 | 12,8 | 9,1 | 5,1 | 1,1 | 0,2 | 0,2 |
| 4,5 | 26,4 | 24,3 | 21,5 | 18,3 | 14,9 | 11,3 | 7,5 | 3,5 | 0,2 | 0,2 |
| 4,75 | 27,9 | 26,0 | 23,2 | 20,1 | 16,8 | 13,3 | 9,7 | 5,9 | 1,9 | 0,2 |
| 5 | 29,4 | 27,5 | 24,8 | 21,9 | 18,7 | 15,3 | 11,7 | 8,1 | 4,2 | 0,3 |
Таблица Г.24 - Определение минимального расстояния от установленной сбоку от проезжей части рекламной конструкции до расположенного по ходу движения дорожного знака, предусмотренного Г.3.1 (Sуст, м), в зависимости от расстояния от края проезжей части до ближайшего края горизонтальной проекции рекламного поля конструкции (lуст, м) при габаритной высоте дорожного знака над уровнем проезжей части hд.з = 3 м и высоте рекламной конструкции от уровня проезжей части до нижнего края информационного поля hр = 5,5 м
(Sбез = 75,4 м; hв = 1,2 м; lв = 1,75;
= 0,4; V0 = 60 км/ч; hд.з = 3 м; hр = 5,5 м)
Таблица Г.24
В метрах
| Расстояние от края проезжей части до дальней от края проезжей части точки горизонтальной проекции дорожного знака, предусмотренного Г.3.1, lд.з, м | Расстояние от края проезжей части до ближайшего края горизонтальной проекции рекламного поля конструкции lуст | |||||||||
| 0,6 | 1 | 1,5 | 2 | 2,5 | 3 | 3,5 | 4 | 4,5 | 5 | |
| Минимальное расстояние от установленной сбоку от проезжей части рекламной конструкции до расположенного по ходу движения дорожного знака, предусмотренного Г.3.1, Sуст | ||||||||||
| 0,75 | 0,2 | 0,2 | 0,2 | 0,2 | 0,2 | 0,2 | 0,2 | 0,2 | 0,2 | 0,2 |
| 1 | 0,2 | 0,2 | 0,2 | 0,2 | 0,2 | 0,2 | 0,2 | 0,2 | 0,2 | 0,2 |
| 1,25 | 0,2 | 0,2 | 0,2 | 0,2 | 0,2 | 0,2 | 0,2 | 0,2 | 0,2 | 0,2 |
| 1,5 | 0,2 | 0,2 | 0,2 | 0,2 | 0,2 | 0,2 | 0,2 | 0,2 | 0,2 | 0,2 |
| 1,75 | 0,2 | 0,2 | 0,2 | 0,2 | 0,2 | 0,2 | 0,2 | 0,2 | 0,2 | 0,2 |
| 2 | 0,2 | 0,2 | 0,2 | 0,2 | 0,2 | 0,2 | 0,2 | 0,2 | 0,2 | 0,2 |
| 2,25 | 0,2 | 0,2 | 0,2 | 0,2 | 0,2 | 0,2 | 0,2 | 0,2 | 0,2 | 0,2 |
| 2,5 | 2,6 | 0,2 | 0,2 | 0,2 | 0,2 | 0,2 | 0,2 | 0,2 | 0,2 | 0,2 |
| 2,75 | 6,1 | 3,2 | 0,2 | 0,2 | 0,2 | 0,2 | 0,2 | 0,2 | 0,2 | 0,2 |
| 3 | 9,3 | 6,5 | 2,7 | 0,2 | 0,2 | 0,2 | 0,2 | 0,2 | 0,2 | 0,2 |
| 3,25 | 12,2 | 9,6 | 5,9 | 1,8 | 0,2 | 0,2 | 0,2 | 0,2 | 0,2 | 0,2 |
| 3,5 | 14,9 | 12,4 | 8,8 | 4,9 | 0,7 | 0,2 | 0,2 | 0,2 | 0,2 | 0,2 |
| 3,75 | 17,4 | 14,9 | 11,6 | 7,8 | 3,8 | 0,2 | 0,2 | 0,2 | 0,2 | 0,2 |
| 4 | 19,7 | 17,3 | 14,1 | 10,5 | 6,6 | 2,5 | 0,2 | 0,2 | 0,2 | 0,2 |
| 4,25 | 21,8 | 19,5 | 16,4 | 13,0 | 9,2 | 5,3 | 1,1 | 0,2 | 0,2 | 0,2 |
| 4,5 | 23,8 | 21,6 | 18,6 | 15,3 | 11,7 | 7,9 | 3,9 | 0,2 | 0,2 | 0,2 |
| 4,75 | 25,6 | 23,5 | 20,6 | 17,4 | 14,0 | 10,3 | 6,4 | 2,4 | 0,2 | 0,2 |
| 5 | 27,3 | 25,3 | 22,5 | 19,4 | 16,1 | 12,5 | 8,8 | 4,9 | 1,0 | 0,2 |
Таблица Г.25 - Определение минимального расстояния от установленной сбоку от проезжей части рекламной конструкции до расположенного по ходу движения дорожного знака, предусмотренного Г.3.1 (Sуст, м), в зависимости от расстояния от края проезжей части до ближайшего края горизонтальной проекции рекламного поля конструкции (lуст, м) при габаритной высоте дорожного знака над уровнем проезжей части hд.з = 5 м и высоте рекламной конструкции от уровня проезжей части до нижнего края информационного поля hр = 6 м
(Sбез = 75,4 м; hв = 1,2 м; lв = 1,75;
= 0,4; V0 = 60 км/ч; hд.з = 5 м; hр = 6 м)
Таблица Г.25
В метрах
| Расстояние от края проезжей части до дальней от края проезжей части точки горизонтальной проекции дорожного знака, предусмотренного Г.3.1, lд.з, м | Расстояние от края проезжей части до ближайшего края горизонтальной проекции рекламного поля конструкции lуст | |||||||||
| 0,6 | 1 | 1,5 | 2 | 2,5 | 3 | 3,5 | 4 | 4,5 | 5 | |
| Минимальное расстояние от установленной сбоку от проезжей части рекламной конструкции до расположенного по ходу движения дорожного знака, предусмотренного Г.3.1, Sуст | ||||||||||
| 0,75 | 0,2 | 0,2 | 0,2 | 0,2 | 0,2 | 0,2 | 0,2 | 0,2 | 0,2 | 0,2 |
| 1 | 0,2 | 0,2 | 0,2 | 0,2 | 0,2 | 0,2 | 0,2 | 0,2 | 0,2 | 0,2 |
| 1,25 | 0,2 | 0,2 | 0,2 | 0,2 | 0,2 | 0,2 | 0,2 | 0,2 | 0,2 | 0,2 |
| 1,5 | 2,1 | 0,2 | 0,2 | 0,2 | 0,2 | 0,2 | 0,2 | 0,2 | 0,2 | 0,2 |
| 1,75 | 4,5 | 2,0 | 0,2 | 0,2 | 0,2 | 0,2 | 0,2 | 0,2 | 0,2 | 0,2 |
| 2 | 6,8 | 4,4 | 1,0 | 0,2 | 0,2 | 0,2 | 0,2 | 0,2 | 0,2 | 0,2 |
| 2,25 | 9,0 | 6,7 | 3,4 | 0,2 | 0,2 | 0,2 | 0,2 | 0,2 | 0,2 | 0,2 |
| 2,5 | 11,1 | 8,9 | 5,7 | 2,2 | 0,2 | 0,2 | 0,2 | 0,2 | 0,2 | 0,2 |
| 2,75 | 13,2 | 11,0 | 7,9 | 4,5 | 0,8 | 0,2 | 0,2 | 0,2 | 0,2 | 0,2 |
| 3 | 15,2 | 13,1 | 10,1 | 6,8 | 3,2 | 0,2 | 0,2 | 0,2 | 0,2 | 0,2 |
| 3,25 | 17,1 | 15,0 | 12,1 | 8,9 | 5,4 | 1,7 | 0,2 | 0,2 | 0,2 | 0,2 |
| 3,5 | 18,9 | 16,9 | 14,1 | 11,0 | 7,6 | 4,0 | 0,2 | 0,2 | 0,2 | 0,2 |
| 3,75 | 20,6 | 18,7 | 16,0 | 12,9 | 9,7 | 6,2 | 2,5 | 0,2 | 0,2 | 0,2 |
| 4 | 22,2 | 20,4 | 17,7 | 14,8 | 11,6 | 8,2 | 4,7 | 0,9 | 0,2 | 0,2 |
| 4,25 | 23,8 | 22,0 | 19,5 | 16,6 | 13,5 | 10,2 | 6,7 | 3,1 | 0,2 | 0,2 |
| 4,5 | 25,3 | 23,6 | 21,1 | 18,3 | 15,3 | 12,1 | 8,7 | 5,2 | 1,6 | 0,2 |
| 4,75 | 26,7 | 25,0 | 22,6 | 19,9 | 17,0 | 13,9 | 10,6 | 7,2 | 3,7 | 0,2 |
| 5 | 28,1 | 26,4 | 24,1 | 21,5 | 18,7 | 15,6 | 12,5 | 9,1 | 5,7 | 2,1 |
Таблица Г.26 - Определение минимального расстояния от установленной сбоку от проезжей части рекламной конструкции до расположенного по ходу движения дорожного знака, предусмотренного Г.3.1 (Sуст, м), в зависимости от расстояния от края проезжей части до ближайшего края горизонтальной проекции рекламного поля конструкции (lуст, м) при габаритной высоте дорожного знака над уровнем проезжей части hд.з = 4 м и высоте рекламной конструкции от уровня проезжей части до нижнего края информационного поля hр = 6 м
(Sбез = 75,4 м; hв = 1,2 м; lв = 1,75;
= 0,4; V0 = 60 км/ч; hд.з = 4 м; hр = 6 м)
Таблица Г.26
В метрах
| Расстояние от края проезжей части до дальней от края проезжей части точки горизонтальной проекции дорожного знака, предусмотренного Г.3.1, lд.з, м | Расстояние от края проезжей части до ближайшего края горизонтальной проекции рекламного поля конструкции lуст | |||||||||
| 0,6 | 1 | 1,5 | 2 | 2,5 | 3 | 3,5 | 4 | 4,5 | 5 | |
| Минимальное расстояние от установленной сбоку от проезжей части рекламной конструкции до расположенного по ходу движения дорожного знака, предусмотренного Г.3.1, Sуст | ||||||||||
| 0,75 | 0,2 | 0,2 | 0,2 | 0,2 | 0,2 | 0,2 | 0,2 | 0,2 | 0,2 | 0,2 |
| 1 | 0,2 | 0,2 | 0,2 | 0,2 | 0,2 | 0,2 | 0,2 | 0,2 | 0,2 | 0,2 |
| 1,25 | 0,2 | 0,2 | 0,2 | 0,2 | 0,2 | 0,2 | 0,2 | 0,2 | 0,2 | 0,2 |
| 1,5 | 0,2 | 0,2 | 0,2 | 0,2 | 0,2 | 0,2 | 0,2 | 0,2 | 0,2 | 0,2 |
| 1,75 | 0,2 | 0,2 | 0,2 | 0,2 | 0,2 | 0,2 | 0,2 | 0,2 | 0,2 | 0,2 |
| 2 | 0,2 | 0,2 | 0,2 | 0,2 | 0,2 | 0,2 | 0,2 | 0,2 | 0,2 | 0,2 |
| 2,25 | 0,4 | 0,2 | 0,2 | 0,2 | 0,2 | 0,2 | 0,2 | 0,2 | 0,2 | 0,2 |
| 2,5 | 3,4 | 0,9 | 0,2 | 0,2 | 0,2 | 0,2 | 0,2 | 0,2 | 0,2 | 0,2 |
| 2,75 | 6,3 | 3,9 | 0,4 | 0,2 | 0,2 | 0,2 | 0,2 | 0,2 | 0,2 | 0,2 |
| 3 | 9,0 | 6,6 | 3,3 | 0,2 | 0,2 | 0,2 | 0,2 | 0,2 | 0,2 | 0,2 |
| 3,25 | 11,5 | 9,2 | 6,1 | 2,5 | 0,2 | 0,2 | 0,2 | 0,2 | 0,2 | 0,2 |
| 3,5 | 13,8 | 11,7 | 8,6 | 5,2 | 1,5 | 0,2 | 0,2 | 0,2 | 0,2 | 0,2 |
| 3,75 | 16,0 | 14,0 | 11,0 | 7,7 | 4,2 | 0,4 | 0,2 | 0,2 | 0,2 | 0,2 |
| 4 | 18,1 | 16,1 | 13,3 | 10,1 | 6,7 | 3,0 | 0,2 | 0,2 | 0,2 | 0,2 |
| 4,25 | 20,1 | 18,1 | 15,4 | 12,3 | 9,0 | 5,5 | 1,8 | 0,2 | 0,2 | 0,2 |
| 4,5 | 21,9 | 20,0 | 17,4 | 14,4 | 11,2 | 7,8 | 4,2 | 0,4 | 0,2 | 0,2 |
| 4,75 | 23,6 | 21,8 | 19,3 | 16,4 | 13,3 | 10,0 | 6,5 | 2,9 | 0,2 | 0,2 |
| 5 | 25,3 | 23,5 | 21,0 | 18,3 | 15,3 | 12,1 | 8,7 | 5,1 | 1,5 | 0,2 |
Таблица Г.27 - Определение минимального расстояния от установленной сбоку от проезжей части рекламной конструкции до расположенного по ходу движения дорожного знака, предусмотренного Г.3.1 (Sуст, м), в зависимости от расстояния от края проезжей части до ближайшего края горизонтальной проекции рекламного поля конструкции (lуст, м) при габаритной высоте дорожного знака над уровнем проезжей части hд.з = 3 м и высоте рекламной конструкции от уровня проезжей части до нижнего края информационного поля hр = 6 м
(Sбез = 75,4 м; hв = 1,2 м; lв = 1,75;
= 0,4; V0 = 60 км/ч; hд.з = 3 м; hр = 6 м)
Таблица Г.27
В метрах
| Расстояние от края проезжей части до дальней от края проезжей части точки горизонтальной проекции дорожного знака, предусмотренного Г.3.1, lд.з, м | Расстояние от края проезжей части до ближайшего края горизонтальной проекции рекламного поля конструкции lуст | |||||||||
| 0,6 | 1 | 1,5 | 2 | 2,5 | 3 | 3,5 | 4 | 4,5 | 5 | |
| Минимальное расстояние от установленной сбоку от проезжей части рекламной конструкции до расположенного по ходу движения дорожного знака, предусмотренного Г.3.1, Sуст | ||||||||||
| 0,75 | 0,2 | 0,2 | 0,2 | 0,2 | 0,2 | 0,2 | 0,2 | 0,2 | 0,2 | 0,2 |
| 1 | 0,2 | 0,2 | 0,2 | 0,2 | 0,2 | 0,2 | 0,2 | 0,2 | 0,2 | 0,2 |
| 1,25 | 0,2 | 0,2 | 0,2 | 0,2 | 0,2 | 0,2 | 0,2 | 0,2 | 0,2 | 0,2 |
| 1,5 | 0,2 | 0,2 | 0,2 | 0,2 | 0,2 | 0,2 | 0,2 | 0,2 | 0,2 | 0,2 |
| 1,75 | 0,2 | 0,2 | 0,2 | 0,2 | 0,2 | 0,2 | 0,2 | 0,2 | 0,2 | 0,2 |
| 2 | 0,2 | 0,2 | 0,2 | 0,2 | 0,2 | 0,2 | 0,2 | 0,2 | 0,2 | 0,2 |
| 2,25 | 0,2 | 0,2 | 0,2 | 0,2 | 0,2 | 0,2 | 0,2 | 0,2 | 0,2 | 0,2 |
| 2,5 | 0,2 | 0,2 | 0,2 | 0,2 | 0,2 | 0,2 | 0,2 | 0,2 | 0,2 | 0,2 |
| 2,75 | 0,2 | 0,2 | 0,2 | 0,2 | 0,2 | 0,2 | 0,2 | 0,2 | 0,2 | 0,2 |
| 3 | 3,3 | 0,8 | 0,2 | 0,2 | 0,2 | 0,2 | 0,2 | 0,2 | 0,2 | 0,2 |
| 3,25 | 6,5 | 4,0 | 0,6 | 0,2 | 0,2 | 0,2 | 0,2 | 0,2 | 0,2 | 0,2 |
| 3,5 | 9,4 | 7,1 | 3,8 | 0,2 | 0,2 | 0,2 | 0,2 | 0,2 | 0,2 | 0,2 |
| 3,75 | 12,1 | 9,9 | 6,7 | 3,3 | 0,2 | 0,2 | 0,2 | 0,2 | 0,2 | 0,2 |
| 4 | 14,6 | 12,5 | 9,5 | 6,1 | 2,5 | 0,2 | 0,2 | 0,2 | 0,2 | 0,2 |
| 4,25 | 16,9 | 14,9 | 12,0 | 8,7 | 5,2 | 1,5 | 0,2 | 0,2 | 0,2 | 0,2 |
| 4,5 | 19,1 | 17,1 | 14,3 | 11,2 | 7,8 | 4,2 | 0,4 | 0,2 | 0,2 | 0,2 |
| 4,75 | 21,1 | 19,2 | 16,5 | 13,5 | 10,2 | 6,8 | 3,1 | 0,2 | 0,2 | 0,2 |
| 5 | 23,0 | 21,1 | 18,5 | 15,6 | 12,5 | 9,1 | 5,6 | 1,9 | 0,2 | 0,2 |


